时间:2017-08-10 00:50:37
1、选择题 pH相同的醋酸和盐酸,分别用蒸馏水稀释至原来体积的m倍和n倍。稀释后的溶液的pH仍相等,则m和n的关系是
A.m>n
B.m=n
C.m<n
D.不能确定
2、选择题 下面均是正丁烷与氧气反应的热化学方程式(25°,101kPa):
①C4H10(g)+
| 13 2 |
| 13 2 |
| 9 2 |
| 9 2 |
3、实验题 (14分)实验室常利用甲醛法测定(NH4)2SO4样品中氮的质量分数,其反应原理为:4NH4++6HCHO===3H++6H2O+(CH2)6N4H+[滴定时,1 mol(CH2)6N4H+与1 mol H+相当],然后用NaOH标准溶液滴定反应生成的酸。某兴趣小组用甲醛法进行了如下实验:
步骤Ⅰ 称取样品1.5 g。
步骤Ⅱ 将样品溶解在250 mL容量瓶中,定容,充分摇匀。
步骤Ⅲ 移取25.00 mL样品溶液于250 mL锥形瓶中,加入10 mL 20%的中性甲醛溶液,摇匀、静置5 min后,加入1~2滴酚酞试液,用NaOH标准溶液滴定至终点。按上述操作方法再重复2次。
(1)上述操作步骤Ⅱ是否正确________(填“是”或“否”);若不正确,请改正_______________________________________________。(若正确,此空不填)
(2)根据步骤Ⅲ填空:
①碱式滴定管用蒸馏水洗涤后,直接加入NaOH标准溶液进行滴定,则测得样品中氮的质量分数________(填“偏高”、“偏低”或“无影响”)。
②锥形瓶用蒸馏水洗涤后,水未倒尽,则滴定时用去NaOH标准溶液的体积________(填“偏大”、“偏小”或“无影响”)。
③滴定时边滴边摇动锥形瓶,眼睛应观察________。
A.滴定管内液面的变化
B.锥形瓶内溶液颜色的变化
④滴定达到终点时,溶液最终变成____________色。
(3)滴定结果如下表所示:
| 滴定 次数 | 待测溶液的体积/mL | 标准溶液的体积 | |
| 滴定前刻度/mL | 滴定后刻度/mL | ||
| 1 | 25.00 | 1.02 | 21.03 |
| 2 | 25.00 | 2.00 | 21.99 |
| 3 | 25.00 | 0.20 | 20.20 |
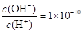
4、选择题 常温下,
某一元酸
溶液中
,下列说法正确的是( )
A.溶液中由水电离出的
B.溶液中
C.与
溶液等体积混合后所得溶液中
D.原溶液中加入一定量NaA晶体或加水稀释,溶液中
均增大
5、选择题 有200 mL MgCl2和 AlCl3的混合溶液,其中c(Mg2+)=0.2 mol/L,c(Cl-)=1.3 mol/L,要使Mg2+全部转化为沉淀分离出来,至少需要4 mol/L NaOH 溶液的体积是:
A.40 mL
B.72 mL
C.80 mL
D.128 mL