时间:2017-08-05 17:52:27
1、计算题 (13分)如图所示,两块水平放置、相距为d的长金属板接在电压可调的电源上.两板之间的右侧长度为3d的区域存在方向垂直纸面向里的匀强磁场,磁感应强度为B.喷墨打印机的喷口可在两极板左侧上下自由移动,并且从喷口连续不断喷出质量均为m、速度水平且大小相等、带等量电荷的墨滴.调节电源电压至U,使墨滴在电场的左侧区域恰能沿水平方向向右做匀速直线运动.(重力加速度为g)
(1)判断墨滴所带电荷的种类,并求其电荷量;
(2)要使墨滴不从两板间射出,求墨滴的入射速率应满足的条件.
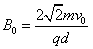
参考答案:(1)墨滴带负电
(2)
本题解析:(1)墨滴在左侧区域做匀速直线运动:
有:
得:
墨滴带负电 ............1分
(2)墨滴在右侧区域做匀速圆周运动
有:?
很明显,从上极板边缘射进的墨滴最容易从两极间射出:
若刚好由左侧射出:
可得:
若刚好由左侧射出:
可得:
墨滴入射应满足的条件是: 
点评:难度中等,粒子能够匀速穿过肯定是受力平衡,在磁场中做匀速圆周运动肯定是由洛仑兹力提供向心力,首先画出运动轨迹,先确定圆心,找到半径,必要的时候借助几何关系求解
本题难度:一般
2、填空题 如图所示,在水平正交的匀强电场和匀强磁场区域内,有一个带电小球A,已知电场强度为E,磁感应强度为B,小球在复合场区域中受到的电场力大小恰与它的重力大小相等,要使小球在电磁场中匀速运动,则小球的速度大小等于________,方向为____________.
参考答案:
?小球带正电时,为右上方与E正向成45°角;小球带负电时, 为左上方与E正向成135°角
本题解析:小球带正电时,磁场力的大小等于重力与电场力的合力,方向如图(甲)所示.
则
根据左手定则,小球速度的方向与磁场力垂直,与E的正向成45°角;同理,小球带负电时,亦有
方向与E正向成135°角(如图乙所示).
本题难度:一般
3、选择题 如图所示,MN是纸面内的一条直线,其所在空间充满与纸面平行的匀强电场或与纸面垂直的匀强磁场(场区都足够大),现有一个重力不计的带电粒子从MN上的O点以水平初速度v0射入场区,则下列判断中正确的是
[? ]
A.如果粒子回到MN上时速度增大,则该空间存在的场一定是电场
B.如果粒子回到MN上时速度大小不变,则该空间存在的场一定是磁场
C.若只改变粒子的初速度大小,发现粒子再回到MN上时与其所成的锐角夹角不变,则该空间存在的场一定是磁场
D.若只改变粒子的初速度大小,发现粒子再回到MN上所用的时间不变,则该空间存在的场一定是磁场
参考答案:AD
本题解析:
本题难度:一般
4、简答题
(1)加速电场的电压U
(2)Q点的坐标(x,y)
(3)电子打在荧光屏上的速度.
参考答案:
(1)
(2)Q点的坐标为(-1.4L0,1.5L0)
(3)
?方向为:与水平方向成450角.
本题解析:(1)由
可得:?


(2)从上向下看磁场和电场分布如答图8
在磁场中运动的半径
设电子经磁场后水平侧移量为x1,偏转角为α,则
tanα=3/4
进入电场以及在电场边界到荧光屏的过程中,水平方向作匀速直线运动,所以x2=(L2+d)tanα=1.2L0
可得:x=-(x1+x2)=-1.4L0?
在电场运动的时间和电场边界到荧光屏的时间相同即
,
在电场中y方向的加速度为
?
在电场中y方向的偏移量
y方向的速度为
从电场边界到荧光屏过程中电子做匀速运动,
y方向的偏移量:
?
可得:
?
所以Q点的坐标为(-1.4L0,1.5L0)
(3)电子打在荧光屏上的速度为
?
方向为:与水平方向成450角.
本题难度:一般
5、计算题 如图所示,坐标系xoy在竖直平面内,y轴的正方向竖直向上,y轴的右侧广大空间存在水平向左的匀强电场E1=2N/C,y轴的左侧广大空间存在匀强电场,磁场方向垂直纸面向外,B=1T,电场方向竖直向上,E2=2N/C。t=0时刻,一个带正电的质点在O点以v=2m/s的初速度沿着与x轴负方向成450角射入y轴的左侧空间,质点的电量为q=106C,质量为m=2×10-7kg,重力加速度g=10m/s2。求:
(1)质点从O点射入后第一次通过y轴的位置;
(2)质点从O点射入到第二次通过y轴所需时间;
(3)质点从O点射入后第四次通过y轴的位置。
参考答案:(1)
?(2)
?(3)
本题解析:⑴质点从o点进入左侧空间后,
∵
,
电场力与重力平衡,质点做匀速圆周运动,洛仑兹力充当向心力?(1分)?
,
?(2分)
质点第一次通过y轴的位置
?(1分)
⑵质点的1/4个匀速圆周运动的时间
?(1分)
当质点到达右侧空间时,
,
(2分)?
且
质点做有往返的匀变速直线运动,
往返时间
?(1分)
质点从刚射入左侧空间到第二次通过y轴所需的时间
?(1分)
⑶质点从右侧空间返回左侧空间时速率仍是
,做匀速圆周运动,轨迹在y轴上截距为
?(1分)
如图,质点再次进入右侧空间时,
,
,水平方向做匀减速运动?(1分)
,
,竖直方向做匀加速运动?(1分)
当质点返回y轴时,往返时间:
?(1分)
竖直方向下落距离:
?(2分)
质点进入左侧空间后第四次通过y轴的位置:
?(1分)
本题难度:一般