时间:2017-08-05 16:29:50
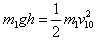
1、计算题 如图所示,小球A系在细线的一端,线的另一端固定在O点,O点到水平面的距离为h。物块B质量是小球的5倍,置于粗糙的水平面上且位于O点正下方,物块与水平面间的动摩擦因数为μ。现拉动小球使线水平伸直,小球由静止开始释放,运动到最低点时与物块发生正碰(碰撞时间极短),反弹后上升至最高点时到水平面的距离为
。小球与物块均视为质点,不计空气阻力,重力加速度为g,求物块在水平面上滑行的时间t。
参考答案:解:设小球的质量为m,运动到最低点与物块碰撞前的速度大小为v1,取小球运动到最低点重力势能为零,根据机械能守恒定律,有
得
设碰撞后小球反弹的速度大小为v1",同理有
得
设碰后物块的速度大小为v2,取水平向右为正方向,根据动量守恒定律,有mv1=-mv1"+5mv2
得
物块在水平面上滑行所受摩擦力的大小F=5μmg
设物块在水平面上滑行的时间为t,根据动量定理,有-Ft=0-5mv2
得
本题解析:
本题难度:困难
2、选择题 不定项选择
如图所示,在光滑水平地面上有两个完全相同的小球A和B,它们的质量都为m,现B球静止,A球以速度v0与B球发生正碰,针对碰撞后的动能下列说法中正确的是( ? )




参考答案:A
本题解析:
本题难度:一般
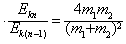
3、计算题 (1)如图甲所示,ABC为一固定在竖直平面内的光滑轨道,BC段水平,AB段与BC段平滑连接。质量为m1的小球从高为h处由静止开始沿轨道下滑,与静止在轨道BC段上质量为m2的小球发生碰撞,碰撞前后两球的运动方向处于同一水平线上,且在碰撞过程中无机械能损失,求碰撞后小球m2的速度大小v2;
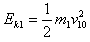
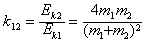
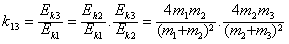
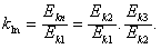
(2)碰撞过程中的能量传递规律在物理学中有着广泛的应用。为了探究这一规律,我们采用多球依次碰撞、碰撞前后速度在同一直线上、且无机械能损失的简化力学模型。如图乙所示,在固定光滑水平直轨道上,质量分别为m1、m2、m3、……mn-1、mn……的若干个球沿直线静止相间排列,给第1个球初动能 Ek1,从而引起各球的依次碰撞。定义其中第n个球经过一次碰撞后获得的动能Ekn与Ek1之比为第1个球对第n个球的动能传递系数k1n。
a.求k1n;
b.若m1=4m0,m3=m0,m0为确定的已知量。求m2为何值时,k13最大。
参考答案:解:(1)设碰撞前m1的速度为v10,根据机械能守恒定律
?①
设碰撞后m1与m2的速度分别为v1和v2,根据动量守恒定律m1v10=m1v1+m2v2 ②
由于碰撞过程中无机械能损失
?③
②、③式联立解得
?④
将①式代入④式得
(2)a.由④式,考虑到
和
得
根据动能传递系数的定义,对于1、2两球
?⑤
同理可得,球m2和球m3碰撞后,动能传递系数k13应为
?⑥
依此类推,动能传递系数k1n应为
…
…
解得
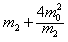
b.将m1=4m0,m3=m0代入⑥可得
为使k13最大,只需使
最大,即使
取最小值
由
可知
当
,即m2=2m0时,k13最大
本题解析:
本题难度:困难
4、选择题 在质量为M的小车中挂有一单摆,摆球的质量为m0,小车和单摆一起以恒定的速度v沿光滑水平面运动,与位于正对面的质量为m的静止木块发生碰撞,碰撞的时间极短.在此碰撞瞬间,下列说法中可能发生的是(?)
A.小车、木块、摆球的速度都发生变化,分别变为vl、v2、v3 ,满足(M+m0)v=Mvl+m2v2+m0v3
B.摆球的速度不变,小车和木块的速度分别变为vl和v2 ,满足(M+m0)v=Mv1+mv2
C.摆球的速度不变,小车和木块的速度都变为v1 ,满足Mv=(M+m)v1
D.小车和摆球的速度都
变为v1,木块的速度变为v2 ,满足(M+m0)v=(M+m0)v1+mv2
参考答案:C
本题解析:略
本题难度:简单
5、选择题 不定项选择
如图所示,光滑水平面上有大小相同的A、B两球在同一直线上运动。两球质量关系为mB=2mA,规定向右为正方向,A、B两球的动量均为6 kg·m/s,运动中两球发生碰撞,碰撞后A球的动量增量为-4 kg·m/s,则( ? )

参考答案:B
本题解析:
本题难度:一般