时间:2017-08-05 16:29:50
1、计算题 如图所示,在光滑的水平面上有一块质量为2m的长木板A,木板左端放着一个质量为m的小木块B,A与B之间的动摩擦因数为μ,开始时,A和B一起以v0向右运动,木板与墙发生碰撞的时间极短,碰后木板以原速率弹回,求:
(1)木板与小木块的共同速度大小并判断方向;
(2)由A开始反弹到A、B共同运动的过程中,B在A上滑行的距离L;
(3)由B开始相对于A运动起,B相对于地面向右运动的最大距离s。 
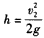
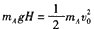
参考答案:解:(1)撞后无机械能损失A将以原速率返回
由动量守恒:
解得:
,方向向左
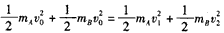
(2)由能的转化与守恒定律得:
解得:
(3)B相对于地面速度为0时有最远的向右位移
由牛顿第二定律和匀变速直线运动规律得:
得
由
得
本题解析:
本题难度:一般
2、选择题 不定项选择
小球D在光滑水平面上以相同的速率分别与原来静止的三个小球A、B、C 相碰(A、B、C与D等大)。D与A碰后,D被反弹回来。D与B碰后,D静止不动。D与C碰后,D继续沿原方向运动。D与A、B、C在碰撞过程中的动能损失均忽略不计,则( ? ?)
A.碰后A球获得的动量最大,获得的动能也最大
B.碰后B球获得的动量最大,获得的动能也最大
C.碰后C球获得的动量最大,B球获得的动能最大
D.碰后A球获得的动量最大,B球获得的动能最大
参考答案:D
本题解析:
本题难度:简单
3、计算题 如图所示,在水平光滑直导轨上,静止着三个质量均为m=1kg的相同小球A、B、C,现让A球以v0=2m/s的速度向着B球运动,A、B两球碰撞后黏合在一起,两球继续向右运动并跟C球碰撞,C球的最终速度vc=1m/s。
(1)两球跟球相碰前的共同速度多大?
(2)两次碰撞过程中一共损失了多少动能? 
参考答案:解:(1)A、B相碰满足动量守恒
得两球跟C球相碰前的速度v1=1m/s
两球与C碰撞同样满足动量守恒
得两球碰后的速度v2=0.5m/s
(2)两次碰撞损失的动能
=1.25J
本题解析:
本题难度:一般
4、选择题 如图为中国
队员投掷冰壶的镜头.在某次投掷
中,冰壶运动一段时间后以0.4 m/s的速度与对方的静止
冰壶发生正碰,碰后对方的冰壶以0.3 m/s的速度
向前滑行.若两冰壶质量相等,规定向前运动方向为正方向,则碰后中国队冰壶获得的速度为
[? ]
A.-0.1 m/s
B.-0.7 m/s
C.0.1 m/s
D.0.7 m/s
参考答案:C
本题解析:
本题难度:简单
5、简答题 质量为m的小球A沿光滑水平面以速度v0与质量为2m静止的小球B发生正碰,碰撞后,A球的动能变为原来的1/9,那么小球B的速度是多少?
参考答案:v1=
v0或
v0
本题解析:碰后A球的动能为mv2/2,则
mv2=
mv02,?解得v=
v0
由于A球碰后速度方向可能有两种情况,速度的方向隐含在结论中,即
由动量守恒定律:mv0=m
v0+2mv1?解得v1=
v0
或者?mv0=-m
v0+2mv2?解得v2=
v0
本题难度:简单