时间:2019-07-03 00:40:58
1、计算题 在以坐标原点O为圆心、半径为r的圆形区域内,存在磁感应强度大小为B、方向垂直于纸面向里的匀强磁场,如图所示。一个不计重力的带电粒子从磁场边界与x轴的交点A处以速度v沿-x方向射入磁场,恰好从磁场边界与y轴的交点C处沿+y方向飞出。
(1)请判断该粒子带何种电荷,并求出其比荷
;
(2)若磁场的方向和所在空间范围不变,而磁感应强度的大小变为B",该粒子仍从A处以相同的速度射入磁场,但飞出磁场时的速度方向相对于入射方向改变了60°角,求磁感应强度B"多大?此次粒子在磁场中运动所用时间t是多少? 
参考答案:解:(1)由粒子的飞行轨迹,利用左手定则可知,该粒子带负电荷
粒子由A点射入,由C点飞出,其速度方向改变了90°,则粒子轨迹半径
①
又
②
则粒子的比荷
③ 
(2)粒子从D点飞出磁场速度方向改变了60°角,故AD弧所对圆心角60°,粒子做圆周运动的半径
④
又
⑤
所以
⑥
粒子在磁场中飞行时间
⑦
本题解析:
本题难度:困难
2、选择题 如图,平面直角坐标系的第I象限内有一匀强磁场垂直于纸面向里,磁感应强度为B。一质量为m、带电荷量为q的粒子以速度v从O点沿着与y轴夹角为30°方向进入磁场,运动到A点时速度方向与x轴的正方向相同,不计粒子的重力,则

[? ]


参考答案:BC
本题解析:
本题难度:一般
3、选择题 如图所示,质量为m、带电量为+q的三个相同的带电小球A、B、C,从同一高度以初速度v0水平抛出(小球运动过程中,不计空气阻力),B球处于竖直向下的匀强磁场中,C球处于垂直纸面向里的匀强电场中,它们落地的速率分别为vA、vB、vC,落地瞬间重力的瞬时功率分别为PA、PB、PC,则以下判断正确的是 
[? ]
A.vA=vB=vC
B.vA=vB<vC
C.PA<PB<PC
D.PA=PB=PC?
参考答案:BD
本题解析:
本题难度:一般
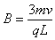
4、计算题 一匀磁场,磁场方向垂直于xy平面,在xy平面上,磁场分布在以O为中心的一个圆形区域内。一个质量为m、电荷量为q的带电粒子,由原点O开始运动,初速为v,方向沿x正方向。后来,粒子经过y轴上的P点,此时速度方向与y轴的夹角为30°,P到O的距离为L,如图所示。不计重力的影响。求磁场的磁感强度B的大小和xy平面上磁场区域的半径R。 
参考答案:解:粒子在磁场中受各仑兹力作用,作匀速圆周运动,设其半径为r
?①
据此并由题意知,粒子在磁场中的轨迹的圆心C必在y轴上,且P点在磁场区之外。过P沿速度方向作延长线,它与x轴相交于Q点。作圆弧过O点与x轴相切,并且与PQ相切,切点A即粒子离开磁场区的地点。这样也求得圆弧轨迹的圆心C,如图所示
由图中几何关系得L=3r ②
由①、②求得
③
图中OA的长度即圆形磁场区的半径R,由图中几何关系可得
④
本题解析:
本题难度:一般
5、选择题 如图,圆形区域内有一垂直纸面的匀强磁场,P为磁场边界上的一点。有无数带有同样电荷、具有同样质量的粒子在纸面内沿各个方向以同样的速率通过P点进入磁场。这些粒子射出边界的位置均处于边界的某一段弧上,这段圆弧的弧长是圆周长的1/3。将磁感应强度的大小从原来的B1变为B2,结果相应的弧长变为原来的一半,则B2/B1等于 
[? ]
A.2
B.3
C.
D.
参考答案:D
本题解析:
本题难度:一般