时间:2019-06-23 22:15:24
1、计算题 飞行时间质谱仪可以根据带电粒子的飞行时间对气体分子进行分析。如图所示,在真空状态下,自脉冲阀P喷出微量气体,经激光照射产生不同正离子,自a板小孔进入a、b间的加速电场,从b板小孔射出,沿中线方向进入M、N板间的方形区域,然后到达紧靠在其右侧的探测器。已知极板a、b间的电压为U0,间距为d,极板M、N的长度和间距均为L。不计离子重力及经过a板时的初速度。
(1)若M、N板间无电场和磁场,请推导出离子从a板到探测器的飞行时间t与比荷k(k=
,q和m分别为离子的电荷量和质量)的关系式;
(2)若在M、N间只加上偏转电压U1,请论证说明不同正离子的轨迹是否重合;
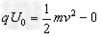
(3)若在M、N间只加上垂直于纸面的匀强磁场。已知进入a、b间的正离子有一价和二价的两种,质量均为m,元电荷为e。要使所有正离子均能通过方形区域从右侧飞出,求所加磁场的磁感应强度的最大值Bm。
参考答案:解:(1)带电离子在平行板a、b间运动时,根据动能定理?
?①?
解得:
,即
?
带电离子在平行板a、b间的加速度
,即
?
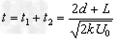
所以,带电离子在平行板a、b间的运动时间
?
带电离子在平行板M、N间的运动时间
?
所以,带电离子的全部飞行时间
(2)正离子在平行板M、N间水平方向运动位移为x时,在竖直方向运动的位移为y
水平方向满足
?②
竖直方向满足
? ③
加速度
? ④?
由上述②、③、④式得:
? ⑤?
⑤式是正离子的轨迹方程,与正离子的质量和电荷量均无关。所以,不同正离子的轨迹是重合的
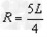
(3)当M、N间磁感应强度大小为B时,离子做圆周运动,满足
?⑥
由上述①、⑥两式,解得:带电离子的轨道半径
?⑦
上式表明:在离子质量一定的情况下,离子的电荷量越大,在磁场中做圆周运动的半径越小,也就越不容易穿过方形区从右侧飞出。所以,要使所有的一价和二价正离子均能通过方形区从右侧飞出,只要二价正离子能从方形区飞出即可。当二价正离子刚好能从方形区域飞出时的磁感应强度为满足题目条件的磁感应强度的最大值
设当离子刚好通过方形区从右侧飞出时的轨道半径为R,由几何关系得
解得:
? ⑧
将二价正离子的电量2e代入⑦式得:
? ⑨
由⑧、⑨式得:
,此值即为所求的磁感应强度的最大值Bm
本题解析:
本题难度:困难
2、填空题 电阻箱是实验室常用电学元件之一,电阻箱各旋钮位置如图所示,该电阻箱的阻值为______Ω.
参考答案:
“×0.1”对应着9,表示接入电路电阻为9×0.1Ω=0.9Ω,
同理接入电路电阻还有:2×1Ω=2Ω,6×100Ω=600Ω,4×1000Ω=4000Ω
所以电阻箱接入电路总电阻为R=4000Ω+600Ω+2Ω+0.9Ω=4602.9Ω
故答案为:4602.9
本题解析:
本题难度:一般
3、实验题 一额定功率为0.01W的电阻,其阻值不详。用欧姆表粗测其阻值结果如图所示(挡位在×1K)。现有下列器材,试设计适当的电路,选择合适的器材,较精确地测定其阻值(滑动变阻器对电压调节从0开始)。
A.电流表,量程
,内阻约150Ω
B.电流表,量程
,内阻约45Ω
C.电压表,量程
,内阻约6kΩ
D.电压表,量程
,内阻约30kΩ
E.直流稳压电源,输出电压24V,额定电流0.5A
F.滑动变阻器,
,1A
G.滑动变阻器,
,0.1A
H.开关一个,导线若干 
(1)欧姆表测得的电阻值约为______________Ω;
(2)电流表应该选择______________,电压表应该选择______________,滑动变阻器最好选择______________;(填字母代号)
(3)在方框中画出电路原理图。
参考答案:(1)4×104
(2)A,D,F
(3)
本题解析:
本题难度:一般
4、填空题 已知电流表的内阻Rg=10Ω,满偏电流Ig=3mA.要把它改装成量程是6V的电压表,应______联一个电阻,其阻值R=______Ω.
参考答案:改装成电压表要串联电阻分压
? 串阻值为R=UIg-Rg=63×10-3-10=1990Ω
? 故答案为:串联;?1990Ω
本题解析:
本题难度:简单
5、简答题 (1)为了测量一节干电池的电动势和内电阻,实验室准备了下列器材供选用:
A.待测干电池一节
B.直流电流表(量程0~0.6-3A,0.6A挡内阻为0.1Ω,3A挡内阻为0.02Ω)
C.直流电压表(量程0~3~15V,3V挡内阻为5kΩ,15V挡内阻为25kΩ)
D.滑动变阻器(阻值范围为0~15Ω,允许最大电流为1A)
E.滑动变阻器(阻值范围为0~1000Ω允许最大电流为0.2A)
F.开关
G.导线若干
①在图(甲)中将所选器材用铅笔画线代表导线进行实物连线;
②为尽可能减少实验的误差,其中滑动变阻器选______(填代号);
③根据实验记录,画出的U-T图线如图(乙)所示,从中可求出待测干电池的电动势为______V,内电阻为______Ω.
(2)用油膜法估测分子大小的实验步骤如下:
①向体积为V1的纯油酸中加入酒精,直到酒精油酸溶液总量为V2;
②用注射器吸取上述溶液,一滴一滴地滴入小量筒,当滴入n滴时体积为V3;
③往边长为30~40cm的浅盘里倒入2cm深的水;
④用注射器往水面上滴1滴上述溶液,等油酸薄膜形状稳定后,将事先准备好的玻璃板放在浅盘上,并在玻璃板上描出油酸薄膜的形状;
⑤将画有油酸薄膜轮廓形状的玻璃板,放在画有许多边长为a的小正方形的坐标纸上,计算出轮廓范围内正方形的总数为N.
则上述过程中遗漏的步骤是______;油酸分子直径的表达式a=______.
(3)某同学做“练习使用示波器”实验观察正弦规律变化的电压图线时,在示波器荧屏上出现如图丙(a)所示的图线,为了将图线调整为图丙(b)所示的形状,他采取了下列措施:
A.调节竖直位移旋钮,使整个图线向下移动
B.保持同步极性选择开关不动,仍置于“+”位置
C.调节Y增益使图形的振幅增大
D.调节X增益使图形的横向幅度增大
其中正确的是______.
参考答案:(1)①用伏安法测定电源电动势和内电阻的电路图如图所示,由于电源电阻较小,采用安培表外接法;
实物连结如图:
②滑动变阻器E电阻值较大,每一圈电阻较大,操作时只有电阻较小时电流表和电压表读数才有明显变化,操作不方便,同时额定电流太小,故选小电阻的滑动变阻器(相对电源内阻而言),故选D;
③电源的U-I图象的纵轴截距表示电源的电动势,故E=1.5V;
斜率表示电源的内电阻,故r=△U△I=1Ω
(2)由实验步骤可知,缺少的实验步骤是:将痱子粉或石膏粉均匀撤在水面上;
一滴油酸溶液含有纯油的体积V=V3n×V1V2,
油膜的面积S=Na2,油酸分子的直径d=VS
解得d=V1V3NV2a2n;
(3)A、把图线下移要调节竖直位移旋钮.故A正确
? B、两位置波形图不变,故保持同步极性选择开关不动,仍置于“+”位置.故B正确
? C 因两波形振幅不变,故Y增益不变,故C错误
? D 因橫向幅度变大,要增加X增益,故D正确
故选:ABD
故答案为:(1)①实物连线如图;②D.③1.5V;1Ω
(2)将痱子粉或石膏粉均匀撤在水面上,d=V1V3NV2a2n
(3)ABD
本题解析:
本题难度:一般