时间:2019-06-28 14:19:24
1、综合题 读图,完成下列问题。(12分)
(1)A图表示的是在?作用下形成的?地貌。(2分)
(2)B图是?地貌,往往形成于?地区;近年由于人类?等不合理的活动,造成B图中的景观出现不断蔓延、扩大的趋势。治理这种危害应采取的措施为?。(4分)
(3)根据等高线数值判断,C图中地形是五种基本类型中的?;根据岩层露头的新老关系判断,图上的地质构造是?,判断理由是?;此处地形的形成原因是?。(6分)
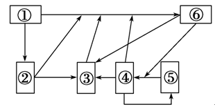
2、单选题 该图是“三大类岩石关系示意图”,读图回答7-8题。
小题1:图中数码①~⑥所代表的内容依次是
A.①喷出岩②岩浆③侵入岩④变质岩⑤岩浆岩⑥沉积岩?
B.①岩浆②侵入岩③变质岩④沉积岩⑤沉积物⑥喷出岩?
C.①喷出岩②沉积物③变质岩④沉积岩⑤岩浆⑥侵入岩?
D.①喷出岩②侵入岩③变质岩④岩浆⑤沉积岩⑥沉积物
小题2:数码⑥常具有的特征是?
A.含有生物化石
B.有较多的气孔?
C.由方解石组成
D.有明显的层理
3、单选题 下图是我国东部某地区岩石与1月均温等值线分布图,读图回答1~2题。
?1.形成岩浆岩的物质来源于
[? ]
A.岩石圈
B.地壳
C.地幔
D.地核
2.上图中
[? ]
A.甲地可能发现地下溶洞
B.乙地的河流自南向北流
C.乙丙相对高度小于1000米
D.乙地地貌为背斜谷
4、综合题 下图为某河流及其支流南河流域图,读图回答下列问题。(6分)
(1)判断图中河流在P处的主要补给类型。
(2)Q点附近河床宽窄不稳定,沙滩罗列(如右图所示)。平原部分离河愈远则地势愈低,至山边为最低,当地居民有“高莫高于河沿,低莫低于山边”之谚语。分析其形成的原因。
(3)指出南河流域综合治理应采取的措施。
5、单选题 读甲、乙两河间地形及地质剖面图。完成下列各题。
(注:隔水层即不透水岩层)
【小题1】与M地层岩石性质和形成时代最接近的是( )
A.①
B.②
C.③
D.④
【小题2】若N与④都是岩浆活动的结果,则下列说法正确的是( )
A.N岩浆活动比④早
B.N与④两者形成时间相同
C.N顶部与④顶部形成的岩石特点相同
D.N下部与④下部形成的岩石特点不同
【小题3】在甲、乙两河间的黄土地上植树造林后,假设该地年降水总量未变,则( )
A.甲、乙两河丰水期水位变高
B.地下水补给河水的水量增加
C.甲、乙两河年径流量不变
D.两河含沙量都有所增加