时间:2017-01-13 09:34:34
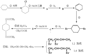
1、填空题  二乙酸-1,4-环己二醇酯可通过下列路线合成:
(1)①的反应类型______,②的反应类型______,⑤的反应类型______,⑦的反应类型______.
(2)试写出由
的所有反应的化学方程式          ???
⑤______⑥______,⑦______,⑧______.
参考答案:由合成路线可知,反应①为光照条件下的取代反应,反应②为NaO
本题解析:
本题难度:一般
2、填空题  用丙醛(CH3-CH2-CHO)为原料通过三步反应得到聚丙烯,写出反应过程中发生的反应方程式:
(1)??????????????????????????????????????????????????????????????????????。
(2)??????????????????????????????????????????????????????????????????????。
(3)??????????????????????????????????????????????????????????????????????。
参考答案:(1)C本题解析:略
本题难度:一般
3、填空题  根据条件推测下列有机物名称,其中A、B为不饱和烃,C为高分子化合物。
(1)写出各物质结构简式A??????????B????????
(2)写出下列转化反应方程式及反应类型
B→C???????????????????????????????,?????????????
CH3CH2 CH2OH→B的方程式?????????????????????,????????????
A和溴水(足量)的化学方程式??????????????,??????????????
参考答案:略
本题解析:略
本题难度:简单
4、填空题  斑螯素能抑制肝癌的发展,去掉斑螯素中的两个甲基制得的化合物——去甲基斑螯素仍具有相应的疗效,其合成路线如下:????????????
已知:①?2HCHO+NaOH ?CH3OH+HCOONa
?CH3OH+HCOONa 
②? ?(Diels-Alder?反应)
?(Diels-Alder?反应) 
③当每个1,3-丁二烯分子与一分子氯气发生加成反应时,有两种产物:?
CH2ClCH=CHCH2Cl;CH2ClCHClCH=CH2。 ?
请回答下列问题:
(1)物质A中含有的含氧官能团名称分别为____________;第①步反应中还生成另一产物,此产物的结构简式为___________。
(2)写出H的结构简式___________;第⑤步反应的反应类型是____________。
(3)去甲基斑螯素与X互为同分异构体。X能与FeCl3溶液发生显色反应,能与Na2CO3溶液反应生成气体,且其核磁共振氢谱有4个吸收峰。写出满足上述条件的X的一种结构简式?_______________。
(4)结合题中有关信息,写出由 制备丁烯二酸酐
制备丁烯二酸酐 ?的合成路线流程图_________________(无机试剂任选)。合成路线流程图示例如下:
?的合成路线流程图_________________(无机试剂任选)。合成路线流程图示例如下: 
参考答案:(1)醛基、醚键?;本题解析:
本题难度:一般
5、填空题  肉桂醛是一种食用香精,它广泛用于牙膏、洗涤剂、糖果以及调味品中。工业上可通过下列反应制备: +CH3CHO
+CH3CHO
 +H2O
+H2O
(1)请推测B侧链上可能发生反应的类型:_____________________________。(任填两种)
(2)请写出两分子乙醛在上述条件下反应的化学方程式:
__________________________________________________________。
(3)请写出同时满足括号内条件下B的所有同分异构体的结构简式:
(①分子中不含碳氧双键和羟基;②是苯的对二取代物;③除苯环外,不含其他环状结构。)
_________________________________________________。
参考答案:(10分)(1)加成反应、氧化反应、还原反应、加聚反应。(任
本题解析:
试题分析:(1)有机物B的侧链上含有碳碳双键和醛基,所以可能发生反应的类型有加成反应、氧化反应、还原反应、加聚反应等。
(2)根据已知反应的特点可知,两分子乙醛在上述条件下反应的化学方程式是CH3CHO+CH3CHO CH3CH=CHCHO+H2O。
CH3CH=CHCHO+H2O。
(3)分子中不含碳氧双键和羟基,则只能是醚
本题难度:一般