时间:2017-01-13 09:34:34
1、填空题 钯催化偶联反应可表示为:R-X + CH2=CH-R’
R-CH="CH-R’" + HX。美国化学家Richard F. Heck因研究此反应获2010年诺贝尔化学奖。以下是利用钯催化偶联反应合成一种香料A(
)的流程:
完成下列填空:
(1)写出结构简式。B________________??? E________________
(2)写出反应②的化学方程式______________________________________________。
(3)反应④属于____________(填反应类型)。反应⑤的条件是____________。
(4)为了促进反应⑥的进行,通常可以加入一种显_________的物质。
a. 强酸性????? b. 弱酸性????? c. 弱碱性????? d. 强碱性
(5)写出A的两种符合下列条件的同分异构体的结构简式____________、___________。
i. 含有两个苯环(除苯环外不含其它环状结构);
ii. 只存在四种化学环境不同的氢原子。
(6)仅以B为有机原料,任选无机试剂,经过三步反应可得到一种含有六元环的酯。写出相关反应的化学方程式。
2、填空题 盐酸利多卡因(F)葡萄糖注射液抗心律失常,可用于急性心肌梗死后室性早搏和室性心动过速。合成路线流程图如下
(1)B在核磁共振氢谱上有________种特征峰,C→D的反应类型是________。
(2)B的同分异构体种类很多,符合以下条件的B的同分异构体共有________种。
①属于苯的衍生物,苯环上共有三个取代基;②与碳酸钠溶液反应可放出CO2气体。
(3)写出
与足量的NaOH溶液共热充分反应后所得产物化学式中含三个氧原子,则1mol该物质最终消耗NaOH为________mol。
(4)现仅以有机物CH3CH=CHCH3为原料,无机试剂任选,用反应流程图表示合成有机物
CH3COOCH2CH=CHCH2OOCCH3的过程(要注明反应条件等)。
提示:
_____________________________________________
3、推断题 镇痉药物C、化合物N以及高分子树脂(
)的合成路线如下:

(1)A的含氧官能团的名称是________.
(2)A在催化剂作用下可与H2反应生成B.该反应的反应类型是________.
(3)酯类化合物C的分子式是C15H14O3,其结构简式是_____________________.
(4)A发生银镜反应的化学方程式是____________________________________.
(5)扁桃酸(
)有多种同分异构体.属于甲酸酯且含酚羟基的同分异构体共有_______种,写出其中一种含亚甲基(—CH2—)的同分异构体的结构简式__________________________.
(6)F与M合成高分子树脂的化学方程式是_________________________.
(7)N在NaOH溶液中发生水解反应的化学方程式是 ___________________________.
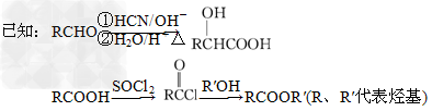
4、填空题 据《中国制药》报道,化合物F是用于制备“非典” 药品(盐酸祛炎痛)的中间产物,其合成路线为: 已知:

RNHCH2R"+HCl(R和R"代表烃基) 

与浓硫酸、浓硝酸混合,在不同温度下会得到不同产物。 5、填空题 已知0.1mol有机物A的质量是12g,在足量的氧气中充分燃烧后生成35.2g?CO2和7.2g?H2O;?A可以发生银镜反应,其苯环上的一卤代物有三种.
(1)A的结构简式为______.
现有如下转化关系:
其中D能使溴的四氯化碳溶液褪色,F继续被氧化生成G,G的相对分子质量为90.
(2)C可能具有的化学性质有______(填序号)
①能与H2发生加成反应?????????②能在碱性溶液中发生水解反应
③能与甲酸发生酯化反应????????④能与Ag(NH3)2OH溶液发生银镜反应
(3)写出下列反应的化学方程式(有机物用结构简式表示),并指出其反应类型
①C转化为D的反应______;反应类型:______反应;
②一定条件下,D生成高分子化合物的反应______;反应类型:______反应.
(4)向盛有5mL?G饱和溶液的试管中滴入3滴用稀硫酸酸化的KMnO4溶液,振荡,溶液的紫红色褪去.已知MnO4-转化为Mn2+,则该反应的化学方程式为:______
(5)C的同分异构体有多种,其中符合下列要求的有机物有______种
①与C具有相同的官能团种类?????????????②遇三氯化铁溶液不显色
③苯环上的一氯代物只有两种
请写出其中的一种同分异构体:______.