时间:2017-01-13 09:34:34
1、填空题  (三选一)【化学—有机化学基础】
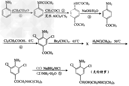
瘦肉精又名克伦特罗(4-氨基-α-叔丁胺甲基-3,5-二氯苯甲醇),是一种β2肾上腺素受体激动剂,临床上用于治疗哮喘。可由下图所示路线合成: 
其中X表示某中间物质,请回答下列问题。
(1)判断反应④的反应类型_____________。
(2)书写反应③所代表的化学反应方程式:____________________。
(3)试推断中间物质X的结构简式:_________________。
(4)对氨基苯乙酮 的同分异构体有多种,请写出符合以下条件的其中任意一种___________
的同分异构体有多种,请写出符合以下条件的其中任意一种___________
a.苯环与氨基相连??b.与新制的Cu(OH)2悬浊液加热,有红色物质生成 c.苯环上有2个取代基
(5)①②③代表的整个反应过程完成了苯胺对位的酰基化,也完成了对____________(填官能团名称)的保护,同时也避免了一些副反应的发生。 
2、填空题  已知A 是一种分子量为28的气态烃,现以A为主要原料合成一种具有果香味的物质E,其合成路线如下图所示。(已知:CH3CH2OH +O2 ?CH3CHO)
?CH3CHO)
请回答下列问题:
(1)写出A的结构简式????????????????????????????。
(2)B、C分子中的官能团名称分别是????????????????????、??????????????????????。
(3)写出与E具有相同官能团的D的同分异构体的结构简式????????????????。
(4)写出下列反应的化学方程式:
①?????????????????????????????????????????????;反应类型:?????????????。
④?????????????????????????????????????????????;反应类型:?????????????。
3、填空题  (12分)根据如图回答问题:
(1)写出下列物质的结构简式:B???????????C??????????D?????????
(2)写出反应①的化学方程式:????????????????????,反应类型:????????
(3)写出反应②的化学方程式:?????????????????????,Cu的作用是:?????????。
4、推断题  I、
(1)已知: ,如果要合成
,如果要合成  所用的原始原料可以是__________
所用的原始原料可以是__________
 A. 2-甲基-l,3-丁二烯和2-丁炔
 B.1,3-戊二烯和2-丁炔 
C.2,3-二甲基-1,3-戊二烯和乙炔 
D、2,3-二甲基-l,3-丁二烯和丙炔 
II、
A~G都是有机化合物,它们的转化关系如下: 请回答下列问题:

5、推断题  白黎芦醇(结构简式: )属二苯乙烯类多酚化合物,具有抗氧化、抗癌和预防心血管疾病的作用。某课题组提出了如下合成路线:
)属二苯乙烯类多酚化合物,具有抗氧化、抗癌和预防心血管疾病的作用。某课题组提出了如下合成路线:
已知:
根据以上信息回答下列问题:
(1)白黎芦醇的分子式是_________________________。
(2)C→D的反应类型是____________;E→F的反应类型是____________。
(3)化合物A不与FeCl3溶液发生显色反应,能与NaHCO3反应放出CO2,推测其核磁共振谱(1H -NMR)中显示有_____种不同化学环境的氢原子,其个数比为______________。
(4)写出A→B反应的化学方程式: _________________________________________。
(5)写出结构简式:D________________、E___________________。
(6)化合物 有多种同分异构体,写出符合下列条件的所有同分异构体的结构简式:_____________________________________________。
有多种同分异构体,写出符合下列条件的所有同分异构体的结构简式:_____________________________________________。
①能发生银镜反应;②含苯环且苯环上只有两种不同化学环境的氢原子。