时间:2019-06-28 21:07:23
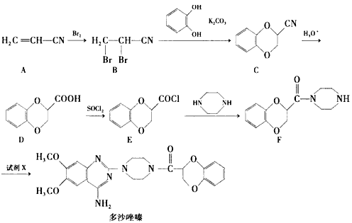
1、填空题 多沙唑嗪盐酸盐是一种用于冶疗高血压的药物。多沙唑嗪的合成路线如下:
(1)写出D中两种含氧官能团的名称:________和_________。
(2)写出满足下列条件的D的一种同分异构体的结构简式__________________
①苯的衍生物,且苯环上的一取代产物只有两种;②与Na2CO3溶液反应放出CO2气体;③水解后的产物才能与FeCl3溶液发生显色反应。
(3)E→F的反应中还可能生成一种有机副产物,该副产物的结构简式为________________
(4)由F制备多沙唑嗪的反应中要加入试剂X(C10H10N3O2Cl),X的结构简式为___________________
(5)苯乙酸乙酯是一种常见的合成香料。请设计合理的方案以苯甲醛和乙醇为原料合成苯乙酸乙酯(用合成路线流程图表示,并注明反应条件)。
提示:①R-Br+NaCN→R-CN+NaBr;②合成过程中无机试剂任选;③合成路线流程图示例如下:

2、填空题 从樟科植物枝叶提取的精油中含有下列甲、乙、丙三种成分:





3、选择题 香叶醇、橙花醇和乙酸橙花酯在工业上用作香料,它们可由月桂烯来合成。
下列说法正确的是?(?)
A.反应①②③均为取代反应
B.月桂烯分子中所有碳原子全部处在同一平面上
C.香叶醇和橙花醇其实是同一种物质
D.乙酸橙花酯可以发生取代、加成、氧化和聚合反应
4、填空题 (20分)
(I)多项选择题(6分)
在一定条件下,烯烃可发生臭氧氧化还原水解反应,生成羰基化合物,该反应可表示为:
已知某有机物发生臭氧氧化还原水解反应后的产物为 CH3COCH2
CHO,则该有机物可能是?。
(II)(14分)
A~G都是有机化合物,它们的转化关系如下:
请回答下列问题:
(1)已知:有机物G的蒸气与甲烷的相对密度为11,取0.1mol的G完全燃烧生成48.4gCO2和10.8gH2O,则G的分子式是?;
(2)写出B的结构简式?;
(3)上述反应中属于取代反应的是?(填代号);
(4)由E生成F的反应条件是?;
(5)由C生成D的化学方程式是?;
(6)同时满足下列两个条件的E的同分异构体共有?
?种,其中苯环上的一氯代物有两种同分异构体的是?(填结构简式)。
①分子内除了苯环外无其他环状结构,且苯环上有2个取代基;
②1mol该同分异构体与NaOH溶液反应时,可消耗3mol的NaOH。
5、填空题 (5分)乙酸苯甲酯可提高花或水果的芳香气味,常用于化妆品工业和食品工业。下图是乙酸苯甲酯的一种合成路线(部分反应物、产物和反应条件略去)。
请回答:
(1)运用逆合成分析法推断,C的结构简式为?。
(2)写出A→B的化学方程式为?
(3)与
?互为同分异构体的芳香族化合物有?种,其中一种同分
异构体的核磁共振氢谱有三种类型氢原子的吸收峰,该同分异构体的结构简式为?
??。