时间:2019-06-28 21:07:23
1、填空题 在国际环境问题中,一次性使用聚苯乙烯材料带来的“白色污染”极为严重,这种材料难分解、处理麻烦,最近研制的一种可降解塑料,代号为3HB,结构简式为
具有良好的生物适应性,能在自然界降解。请回答下列问题:
(1)该可降解塑料在自然界中可通过________(填序号)反应降解为该聚合物的单体
A.加成
B.消去
C.水解
D.氧化
(2)该聚合物的单体的结构简式为_________________________________________,
该单体中具有的官能团的名称为______________。
(3)各取1 mol该单体分别与钠和碳酸氢钠溶液完全反应时,分别消耗钠和碳酸氢钠物质的量之比为________。
参考答案:(1)C (2)
羧基和羟基? (3)2∶1
本题解析:(1)由该高聚物的链节可知它是由乳酸(
)通过酯化反应而聚合得到的,所以该有机物降解时就是酯的水解过程。
(2)该单体具有两个官能团,分别是羧基(—COOH)和羟基(—OH)。
(3)醇羟基能与活泼金属反应生成H2,但不能与碳酸氢钠溶液反应,也不能与NaOH溶液反应,有机物中能与碳酸氢钠反应生成CO2的只有羧基。所以可得各取1 mol该单体分别与钠和碳酸氢钠溶液完全反应时,分别消耗钠和碳酸氢钠物质的量之比为2∶1。
点评:该题是高考中的常见题型,属于中等难度的试题。试题贴近高考,综合性强,在注重对基础知识巩固与训练的同时,侧重对学生能力的培养与解题方法的指导与训练。该类试题能较全面地考查学生的有机化学基础知识和逻辑思维能力、创造思维能力,提高学生的应试能力。该题的关键是记住常见官能团的结构、性质以及相互之间的转化,然后灵活运用即可。
本题难度:一般
2、填空题 (10分)有机化合物A为一元溴代有机酸,仅含C、H、O、Br元素,与A相关的反应框图如下:
⑴写出下列反应过程中的有机反应类型:
A→C中①是 ,C→E是 。
⑵写出F的结构简式: 。
⑶写出与C具有相同官能团的同分异构体的结构简式 。
⑷写出反应A→B的化学方程式:
参考答案:(方程式3分,其余每空2分,共11分)
⑴消去反应(2分)?加成反应(2分)
⑵
(2分)
⑶
(2分)
⑷?(3分)
本题解析:略
本题难度:一般
3、填空题 以乙烯为原料合成化合物C的流程如下所示
(1)请写出B和C中含有的官能团名称分别为:________________,_______________。
(2)写出A的结构简式_______________。
(3)①③的反应类型分别为_______________反应和_______________反应。
(4)写出乙醇的同分异构体__________________。
(5)写出反应②和④的化学方程式:
②______________________________; ④______________________________。
(6)写出B与新制氢氧化铜悬浊液反应的化学方程式:______________________________。
参考答案:(1)醛基;酯基
(2)
(3)加成;取代
(4)CH3OCH3
(5)②2CH3CH2OH+O2
2CH3CHO+2H2O;
④2CH3COOH+HOCH2-CH2OH
CH3COOCH2-CH2OOCCH3+2H2O
(6)CH3CHO+2Cu(OH)2
CH3COOH+Cu2O↓+2H2O
本题解析:
本题难度:一般
4、简答题 与淀粉相关的物质间转化关系如下图所示.其中B的分子中含有一个甲基,B与羧酸和醇均能发生酯化反应;C的催化氧化产物既是合成酚醛树脂的原料之一,又是常见的居室污染物;E能使Br2的CCl4溶液褪色.
(1)B的结构简式是______.
(2)E→F的化学方程式是______.
(3)某同学欲验证淀粉完全水解的产物A,进行如下实验操作:①在试管中加入少量淀粉 ②加热3~4min ③加入少量新制的Cu(OH)2悬浊液?④加入少量稀硫酸⑤加热?⑥待冷却后,滴加NaOH溶液至溶液呈碱性.则以上操作步骤正确的顺序是(填选项序号)______.
a.①②④⑤③⑥b.①④②③⑤⑥c.①④②⑥③⑤d.①⑤③④⑥②
参考答案:根据题意:B的分子中含有一个甲基,B与羧酸和醇均能发生酯化反应,说明B中既含有羧基有含有羟基,即B的结构简式为:
,C的催化氧化产物既是合成酚醛树脂的原料之一,又是常见的居室污染物,所以C是甲醇,甲醇和B之间发生酯化反应生酯D,即D为:
,在浓硫酸的作用下发生消去反应,生成E,即E的结构简式为:
,在一定的条件下,含有碳碳双键的化合物可以发生加聚反应生成高分子化合物,即F的结构简式为
.
(1)B的结构简式为:
,故答案为:
;
(2)E→F的转化过程是含有碳碳双键的物质能发生加聚反应的过程,方程式为:
,故答案为:n
引发剂
本题解析:
本题难度:一般
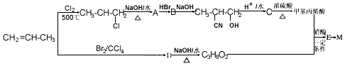
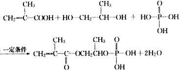
5、推断题 高分子材料M在光聚合物和金属涂料方面有重要用途。
已知: 
M可以用丙烯为原料,通过如下图所示的路线合成


参考答案:(1)碳碳双键;羟基
(2)消去反应;加聚反应 (3)
;
(4)
(5)
、
、
(6)
本题解析:
本题难度:困难