时间:2019-06-28 21:07:23
1、推断题 有机物A是烃,有机物B易溶于水,且1mol B能与足量的钠反应生成标准状况下的H2 11.2 L,但不与
NaHCO3溶液反应。已知A通过如下转化关系(有关反应条件已略去)制得化学式为C4H8O2的酯E,且当
D→E时,相对分子质量增加28。 
请回答下列问题:
(1)A的名称:____________,结构简式:____________。
(2)B的官能团名称:_________,C的官能团名称:_______。
(3)反应①的反应类型为________,反应③的反应类型为________。
(4)4.4 g C物质完全燃烧消耗_______mol氧气。
(5)完成化学方程式(有机物用结构简式表示):
反应②:____________________。
反应③:____________________。
参考答案:(1)乙烯;CH2=CH2
(2)羟基;醛基
(3)加成反应;取代(或酯化)反应
(4)0.25
(5)②:2CH3CH2OH+O2
CH3CHO+2H2O;
③:CH3COOH+CH3CH2OH
CH3COOCH2CH3+H2O
本题解析:
本题难度:一般
2、简答题 以两种简单烯烃为原料,通过如下方法可合成一种高分子化合物M:
已知:①磷酸的结构式为:
②M的结构为:
③
回答下列问题:
(1)2-甲基丙烯的同分异构体共有______种(含2-甲基丙烯本身,不考虑立体异构).
(2)反应③、⑥的类型为______、______.
(3)反应②的化学方程式为______.
(4)反应⑤的化学方程式为______.
(5)请用反应流程图表示A→B的合成线路,并注明反应条件______(提醒:一定条件下,氧化羟基、醛基的条件足以氧化C=C).例:由乙醇合成聚乙烯的反应流程图可表示为:CH3CH2OH

参考答案:丙烯与HClO反应生成C,C转化为D,结合信息③可知,C为CH3CH(OH)CH2Cl,D为
;
CH2=CH(CH3)-CH2Cl在氢氧化钠水溶液、加热条件下发生水解反应生成A,A为CH2=CH(CH3)-CH2OH,进行系列转化生成B,B是2-甲基丙烯酸,结构简式为CH2=CH(CH3)-COOH,B、D、磷酸发生反应E,由高分子化合物M的结构可知,E为
,通过加聚反应生成高聚物M,
(1)不含支链,移动C=C双键位置,有C=C-C-C、C-C=C-C两种,含有三元环,有1种,含有四元环,有1种,包含2-甲基丙烯,不含顺反异构,共有5种,故答案为:5;
(2)反应③是丙烯与HClO反应CH3CH(OH)CH2Cl,属于加成反应,
反应⑥是
通过加聚反应生成高聚物M,
故答案为:加成反应,加聚反应;
(3)反应②是CH2=CH(CH3)-CH2Cl在氢氧化钠水溶液、加热条件下发生水解反应生成CH2=CH(CH3)-CH2OH,反应方程式为:CH2=C(CH3)CH2Cl+NaOH水
本题解析:
本题难度:一般
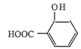
3、填空题 (5分)以五倍子为原料可制得A,A的结构简式如下图所示,试回答下列问题:
(1)A的分子式为_______________。
(2)有机化合物B在硫酸催化条件下加热发生酯化可得到A。则B的结构简式为______________。
(3)写出A与过量NaOH溶液反应的化学方程式__________________________________。
参考答案:(共6分,每空2分)?(1)C14H10O9?(2)
(3)
本题解析:(1)根据A的结构简式并结合碳原子的4个价电子可知,分子式为C14H10O9。
(2)A中含有酯基,其水解产物都是相同的,所以B就是A的水解产物,其结构简式为
。
(3)A中除含有1个酯基外,还含有5个酚羟基、1个羧基。但由于水解后的羟基也是酚羟基,所以A需要8mol氢氧化钠,乙醇方程式为
。
本题难度:一般
4、填空题 (10分)有机化合物A为一元溴代有机酸,仅含C、H、O、Br元素,与A相关的反应框图如下:
⑴写出下列反应过程中的有机反应类型:
A→C中①是 ,C→E是 。
⑵写出F的结构简式: 。
⑶写出与C具有相同官能团的同分异构体的结构简式 。
⑷写出反应A→B的化学方程式:
参考答案:(方程式3分,其余每空2分,共11分)
⑴消去反应(2分)?加成反应(2分)
⑵
(2分)
⑶
(2分)
⑷?(3分)
本题解析:略
本题难度:一般
5、选择题 某化合物A的结构简式为:
,为了研究X的结构,将化合物A在一定条件下水解只得到B(分子式为C8H8O3)和C(分子式为C7H6O3)。C遇FeCl3水溶液显紫色,与NaHCO3溶液反应有CO2产生。
请回答下列问题:
(1)化合物A中有三个含氧官能团,它们的名称分别是羧基、羟基和?。
(2)化合物B能发生下列哪些类型的反应?。
a.取代反应? b.加成反应? c.缩聚反应? d.消去反应
(3)化合物C能经下列反应得到G(分子式为C8H6O2,分子内含有五元环);
已知:(Ⅰ)RCOOH
RCH2OH
(Ⅱ)R-Br
R-COOH
①确认化合物C的结构简式为?。
②F→G反应的化学方程式为?。
③化合物E有多种同分异构体,1H核磁共振谱图表明,其中某些同分异构体含有苯环,且苯环上有两种不同化学环境的氢,写出这些同分异构体中任意二种的结构简式?。
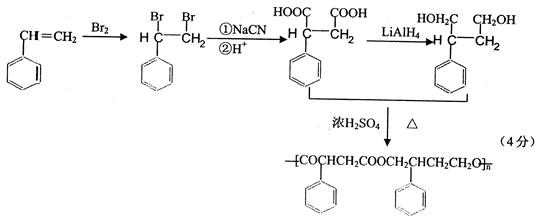
(4)写出以苯乙烯(
)为主要原料制备
的合
成路线流程图(无机试剂任选)。合成路线流程图示例如下:
CH3CH2OH
H2C=CH2
?H2CBr—CH2 Br
参考答案:
(1)酯基
(2)abc
(3)①
②
③
(4)
本题解析:本题为有机合成题,(1)由题意知水解产物C来自X部分,根据性质判断其有酚羟基和羧基;(2)有机物B为
,能发生取代、加成、缩聚等反应,不能发生消去(羟基的β—C无氢原子);(3)有机物C存在
三种可能,由C到F是羧基的变化,F到G是成环的酯化反应,由生成五元环可知G为
,则C为
;书写有条件的同分异构体一般注意对称性。(5)聚合物的单体为①HOOCCHCH2COOH和②HOCH2CHCH2CH2OH,其中①可以由②氧化得到,结合信息(Ⅱ)在原料中引入两个羧基得到①,再由信息(Ⅰ)还原①得到②,后聚合得到目标产物。
本题难度:困难