时间:2017-11-11 04:02:35
1、选择题 药物贝诺酯可由乙酰水杨酸和对乙酰氨基酚在一定条件下反应制得:
下列有关叙述正确的是(? )
A.贝诺酯分子中有三种含氧官能团
B.可用FeCl3溶液区别乙酰水杨酸和对乙酰氨基酚
C.乙酰水杨酸和对乙酰氨基酚均能与NaHCO3溶液反应
D.贝诺酯与足量NaOH 溶液共热,最终生成乙酰水杨酸钠和对乙酰氨基酚钠
2、选择题 在酸性条件下,能发生水解反应,生成A、B两种物质,而且A、B的相对分子质量相同,这种有机物可能是( )
A.甲酸甲酯
B.甲酯乙酯
C.乙酯乙酯
D.乙酸甲酯
3、选择题 据报道,近年在我国东北地区发生数起因日军遗弃毒气弹而引起的中毒事件。芥子气就是其中的一种毒气,其结构简式为(ClCH2CH2)2S。下列对芥子气的叙述正确的是?
[? ]
A.从分子结构看,该物质属于卤代烃
B.该物质的分子中4个碳原子在同一条直线上
C.可用浸有碱性溶液的毛巾捂着口鼻以减轻毒性
D.该物质可溶于水,可以喷水消毒
4、填空题 不对称烯烃与HX发生加成反应时HX中的H原子加成到含H较多的碳原子上。俄国化学家马科尼可夫因提出不对称烯烃的加成规则而著称于世。
又知:①CH3CH2Br+NaCN
CH3CH2CN+NaBr
? ②CH3CH2CN ?
③CH3CH2COOH
CH3CHBrCOOH
有下列有机物之间的相互转化:
回答下列问题:
(1)B→C的反应类型为?;
(2)C→D、E→F的化学方程式为:
C→D ?,
E→F(F为高分子时)?。
(3)F可以有多种结构,写出下列情况下F的结构简式:
①分子式为C7H12O5?,②分子内含有一个七元环?。
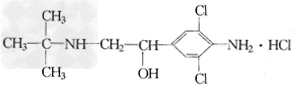
5、选择题 《化学教育》报道了数起因食用有“瘦肉精”的猪肉和内脏,而发生急性中毒的恶性事件。这足以说明,目前由于奸商的违法经营,已使“瘦肉精”变成了“害人精”。“瘦肉精”的结构可表示为: 
下列关于“瘦肉精”的说法中正确的是?
[? ]
A.摩尔质量为313.5?g?
B.属于芳香烃?
C.分子式为C12H19Cl3N20?
D.不能发生加成反应