时间:2017-11-11 04:02:35
1、选择题 从中草药陈蒿中可提取一种利胆的有效成分,其结构简式为
,推测该药物不可能具有的化学性质是?(?)
A.与FeCl3溶
液发生显色反应
B.与氢氧化钠溶液反应
C.与浓溴水反应
D.在稀硫酸溶液中发生水解反应
2、选择题 下列反应中属于加成反应的是
3、填空题 (12分)有机物A的结构简式为:
(1)A的分子式为____________________。
(2)A在NaOH水溶液中加热,经酸化得到有机物B和D,D是芳香族化合物。当有1 molA发生反应时,最多消耗_________ mol NaOH。
(3)B在一定条件下发生酯化反应可生成某五元环酯,该五元环酯的结构简式为___________________________________________________________________。
(4)写出苯环上只有
一个取代基且属于酯类的D的所有同分异构体的结构简式?。
(5)D的某同系物在氧气中充分燃烧生成二氧化碳和水,其中n(CO2)∶n(H2O)=3∶2,该同系物的分子式为_______________________。
4、选择题 木?质素是制浆造纸工业的副产物,具有优良的物理化学特点,若得不到充分利用,变成了制浆造纸工业中的主要污染源之一,不仅造成严重的环境污染,而且也造成资源的重大浪费。木质素的一种单体结构简式如图所示,下列说法错误的是 
[? ]
A.遇FeCl3溶液呈紫色
B.每摩尔该物质最多能消耗4molH2
C.每摩尔该物质最多能消耗3?molBr2
D.该物质的分子式是C10H12O3,不属于芳香烃?
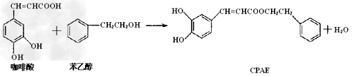
5、选择题 CPAE是蜂胶的主要活性成分,也可由咖啡酸合成:? 
下列说法不正确的是?
[? ]
A.咖啡酸分子中所有原子可能处在同一个平面上 ?
B.可用金属Na检测上述反应是否残留苯乙醇 ?
C.1?mol?苯乙醇在O2中完全燃烧,需消耗10?mol?O2 ?
D.1?mol?CPAE与足量的NaOH溶液反应,最多消耗3?mol?NaOH?