时间:2017-11-11 04:02:35
1、填空题 对复杂的有机物的结构可用“键线式”简化表示,如苯丙烯酸丙烯酯:
可简化为:
,杀虫剂“阿乐丹”的结构表示为:
(1)它的化学式为______。
(2)若它在稀酸作用下能生成两种有机物,这两种有机物可能有的共同性质是
A.遇FeCl3溶液均显紫色
B.均与NaOH溶液反应
C.在一定条件下均与H2反应
D.均能与溴水发生加成反应
参考答案:(1)C18H24O6N2? (2)B,C
本题解析:水解时酯键断裂:
生成的物质均可与NaOH发生中和反应,C=C和苯环都可与H2加成。所以选B,C。
本题难度:一般
2、选择题 百里酚酞是常用的滴定指示剂,pH小于9.4为无色,大于10.6时为蓝色,百里酚酞的结构式如图,可由邻苯二甲酸酐?等原料合成得到。有关说法不正确的是 
[? ]
A.百里酚酞中含有羟基、酯基及苯基等官能团
B.邻苯二甲酸酐分子中所有原子处于同一平面
C.1mol百里酚酞在溶液中最多可与4molNaOH反应
D.用已知浓度的烧碱滴定未知浓度的盐酸,用酚酞作指示剂比百里酚酞误差小
参考答案:C
本题解析:
本题难度:简单
3、选择题 分子式为C9H18O2的有机物在酸性条件下可水解为酸和醇,且酸与醇的相对分子质量相等。若不考虑立体异构,这些酸和醇重新组合可形成的酯共有
A.12种
B.16种
C.20种
D.24种
参考答案:B
本题解析:根据题意,分子式为C9H18O2的有机物在酸性条件下可水解为相对分子质量相等的酸与醇。说明醇分子中的C原子数比酸多1个,所以醇是戊醇,酸是丁酸。根据同分异构体的书写原则,戊醇有8种同分异构体,丁酸有2种同分异构体,二者形成的酯有16种,答案选B。
本题难度:一般
4、实验题 (14分)实验室合成乙酸乙酯的步骤如下:在圆底烧瓶内加入乙醇、浓硫酸和乙酸,瓶口竖直安装通有冷却水的冷凝管(使反应混合物的蒸气冷凝为液体流回烧瓶内),加热回流一段时间后换成蒸馏装置进行蒸馏(如下图所示),得到含有乙醇、乙酸和水的乙酸乙酯粗产品。请回答下列问题:
(已知:乙醇、乙酸、乙酸乙酯的沸点依次是78.4℃、118℃、77.1℃)
(1)在烧瓶中除了加入乙醇、浓硫酸和乙酸外,还应放入几块碎瓷片,
其目的是___________________ 91ExAm.org______。
(2)在烧瓶中加入一定比例的乙醇和浓硫酸的混合液的方法是?。
(3)生成乙酸乙酯的反应是可逆反应,反应物不能完全转化为生成物,反应一段时间后,就达到了该反应的限度,即达到化学平衡状态。下列描述能说明该反应已达到化学平衡状态的是(填序号) 。
①单位时间里,生成1mol乙酸乙酯,同时生成1mol水
②单位时间里,生成1mol乙酸乙酯,同时生成1mol乙酸
③单位时间里,消耗1mol乙醇,同时消耗1mol乙酸
④正反应的速率与逆反应的速率相等? ⑤混合物中各物质的浓度不再变化
(4)(每空1分)现拟分离含乙酸、乙醇和水的乙酸乙酯粗产品,下图是分离操作步骤流程图。请在图中圆括号内填入适当的试剂,在方括号内填入适当的分离方法。
E为____________(填名称);试剂a是__________,试剂b为_______;分离方法①是___________,分离方法②是__________________,分离方法③是__________。
(5)写出C → D 反应的化学方程式?。
参考答案:(1)防止烧瓶中液体暴沸
(2)先在烧瓶中加入一定量的乙醇,然后慢慢将浓硫酸加入烧瓶,边加边振荡。
(3)②④⑤
(4)(每空1分)乙醇?饱和碳酸钠溶液?浓硫酸?分液?蒸馏?蒸馏
(5)2CH3COONa + H2SO4 = Na2SO4 + 2CH3COOH
本题解析:(1)酯化反应需要加热,为了防止液体沸腾时剧烈跳到,需要碎瓷片防止暴沸。
(2)浓硫酸溶于水放出大量的热,且浓硫酸的密度大于水的。为了防止乙醇和乙酸的挥发,需要把浓硫酸注入乙醇中,等冷却后,再加入乙酸。
(3)①和③中反应速率的方向是相同,在任何情况下都成立,不正确。②中反应速率的方向相反,且速率之比满足相应的化学计量数之比,正确。④⑤均符合化学平衡的特点,是正确的。答案选②④⑤
(4)粗产品中含有乙醇和乙酸,需要利用饱和碳酸钠溶液除去乙酸和乙醇,然后分液即得到乙酸乙酯溶液A,最后通过无水碳酸钠得到乙酸乙酯F。B中含有乙醇和乙酸钠以及剩余的碳酸钠。所以可直接蒸馏得到乙醇。向剩余的溶液中加入浓硫酸即得到乙酸,最后还是通过蒸馏得到乙酸。
(5)醋酸钠和硫酸反应生成醋酸和硫酸钠。
本题难度:一般
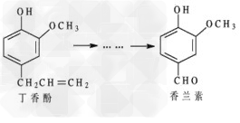
5、选择题 香兰素是重要的香料之一,它可由丁香酚合成,如右图所示,有关两种化合物的说法正确的是
[? ]
A、常温下,1 mol丁香酚只能与1 mol Br2反应
B、丁香酚不能与FeCl3溶液发生显色反应
C、1 mol香兰素最多能与3 mol氢气发生加成反应
D、香兰素分子中至少有12个原子共平面
参考答案:D
本题解析:
本题难度:简单