时间:2017-09-25 18:01:24
1、实验题 (14分)某同学欲用右图装置制备乙酸乙酯,其中a试管中是浓硫酸、乙醇、乙酸的混合液, b试管盛饱和Na2CO3溶液。回答下列问题:
(1)指出装置中一个明显的错误?
(2)配制浓硫酸、乙醇、乙酸的混合液的正确操作顺序是?。
(3)写出试管a中所发生反应的化学方程式??,其反应类型为?。
(4)反应结束后振荡b试管的混合液,可观察到b试管中有细小气泡冒出,写出表示该反应的离子方程式?。
(5)从b试管中分离出乙酸乙酯的分离方法是?。
(6)浓硫酸在此反应中的作用是?。
2、选择题 下列物质的类别与所含官能团都错误的是( )
A.
醇类-OH
B.
羧酸-COOH
C.
醛类-CHO
D.
醛类-CHO
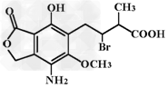
3、选择题 某有机物A的结构简式如图,下列有关A的说法正确的是 
[? ]
A.分子式为:C14H25O6NBr?
B.该分子中含有两个手性碳原子
C.不能使酸性高锰酸钾溶液褪色
D.A在一定条件下与氢氧化钠溶液反应,1?molA最多消耗4mol?NaOH
4、选择题 邻甲基苯甲酸(
)有多种同分异构体,其中属于酯类,且分子结构
中有甲基和苯环的异构体有?
A.2种
B.3种
C.4种
D.5种
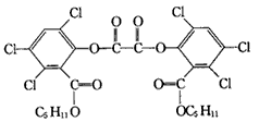
5、选择题 被称为“魔棒”的荧光棒已成为节日之夜青少年的喜爱之物,其发光原理是利用过氧化氢氧化草酸二酯产生能量,该能量被传递给荧光物质后便发出荧光。已知草酸二酯的结构如下图所示,下列有关说法正确的是
[? ]
A.1mol草酸二酯与NaOH稀溶液反应,最多可消耗10mol NaOH
B.草酸二酯水解时生成两种有机物
C.1mol草酸二酯与H2完全反应,需要H2 6mol
D.草酸二酯的分子式为C26H22C16O8