高考化学知识点总结《酯》高频考点特训(2017年练习版)(十)

时间:2017-09-25 18:01:24

微信搜索关注"91考试网"公众号,领30元,获取事业编教师公务员等考试资料40G

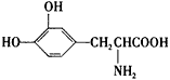
1、选择题  有机物A的结构如图所示,下列说法正确的是

[? ]
A.一定条件下,1 mol A能与3 mol NaOH反应
B.一定条件下,1 mol A能和5 mol氢气发生加成反应
C.一定条件下和浓溴水反应时,1 mol A能消耗3 mol Br2
D.A能与碳酸氢钠溶液反应



2、简答题  下图为硬脂酸甘油酯在碱性条件下水解的装置图,进行皂化反应时的步骤如下:

(1)在圆底烧瓶中装入7~8 g硬脂酸甘油酯,然后加入2~3 g的氢氧化钠、5 mL水和10 mL酒精;加入酒精的作用为_______________________________。
(2)向所得混合物中加入____________________,静置一段时间,溶液分为上下两层,肥皂在__________层。
(3)图中长玻璃管的作用是________________________________________________。
(4)写出该反应的化学方程式______________________________________________。



3、选择题  下列关于有机物的说法,不正确的是
[? ]
A.既可催化加氢,又能使酸性KMnO4溶液褪色
B.可与浓溴水发生取代反应,而不能与Br2的CCl4溶液发生加成反应
C.l mol该化合物最多可与6mol NaOH反应
D.可与FeCl3溶液发生显色反应,不与NaHCO3反应放出CO2



4、选择题  某有机物X能发生水解反应,水解产物为Y和Z。Y和Z的相对分子质量相同,化合物X可能是
A.甲酸乙酯
B.甲酸丙酯
C.乙酸甲酯
D.乙酸乙酯



5、选择题  1828年,德国化学家维勒冲破生命力学说的束缚,在实验室里将无机物氰酸铵(NH4CNO)溶液蒸发,得到了有机物尿素 [CO(NH2)2]。他的这一功绩,恩格斯曾给予了很高的评价。 下列有关说法中不正确的是?
[? ]
A.氰酸铵属于铵盐
B.氰酸铵与尿素化学性质不同
C.氰酸铵转化为尿素的过程属于物理变化
D.有机物不一定要从生命体内获得




首页 上页 9 10 下页 尾页 10/10/10
微信搜索关注"91考试网"公众号,领30元,获取公务员事业编教师考试资料40G
【省市县地区导航】【考试题库导航】
 ★ 高考省级导航 ★ 
全国 A安徽 B北京 C重庆 F福建 G广东 广西 甘肃 贵州 H河南 河北 湖南 湖北 黑龙江 海南 J江苏 江西 吉林 L辽宁 N内蒙古 宁夏 Q青海 S山东 山西 陕西 四川 上海 T天津 X新疆 西藏 Y云南 Z浙江
 ★ 高考信息汇总 ★ 
 ★ 高考历年真题 ★ 
 ★ 高考历年真题 ★ 
 ★ 高考题库 ★ 
 ★ 高考题库 ★ 

电脑版  |  手机版  |  返回顶部