时间:2017-08-26 02:42:22
1、选择题 下列物质中各含有少量杂质,能用饱和Na2CO3溶液并借助于分液漏斗除去杂质的是(?)
A.苯中含有少量甲苯
B.乙醇中含少量乙酸
C.乙酸乙酯中含有少量乙酸
D.溴苯中含有少量苯
2、选择题 乙酸乙酯在KOH溶液中水解,得到的产物是
A.乙酸钾
B.乙醇
C.乙酸
D.乙酸钾和乙醇
3、填空题 [化学——选修有机化学基础](15分)
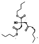
柠檬酸三丁酯(TBC)是绿色环保的增塑剂,应用极其广泛,它的结构式如左下图,
已知柠檬酸的结构简式为
,1—丙醇的键线式可表示为
试回答:
(1)TBC的分子式为?,在研究TBC的结构时要用到一种谱图(如下),用于推测?等信息,它是?图(填序号);
A.核磁共振氢谱? B.红外光谱? C.质谱
(2)1—丁醇在一定条件下可生成1—丁醇,反应类型为?,化学方程式为?,TBC在该条件下?(填“能”或“不能”)生成含醛基的化合物;
(3)柠檬酸与甲醇反应生成柠檬酸三甲酯的化学方程式?;
(4)合成TBC时,不同条件对酯化学率的影响如下表:
| n(酸):n(醇) | 1:5.0 | 1:5.5 | 1:6.0 | 1:6.5 | 1:7.0 |
| 酯化率/% | 95.1 | 96.3 | 97.0 | 97.4 | 97.2 |
| 时间/h | 0.5 | 1.0 | 2.0 | 3.0 | 5.0 |
| 酯化率/% | 40.0 | 70.2 | 94.3 | 97.4 | 97.4 |
| 温度/°C | 130 | 140 | 145 | 150 | 160 |
| 酯化率/% | 89.5 | 96.2 | 97.4 | 97.4 | 97.2 |
4、选择题 某物质的结构为
,关于该物质的说法正确的是
[? ]
A.是苯的同系物
B.1mol该物质最多可以和4mol氢气发生加成反应
C.能发生加聚反应
D.分子中的所有原子无法处于同一平面
5、填空题 不对称烯烃与HX发生加成反应时HX中的H原子加成到含H较多的碳原子上。俄国化学家马科尼可夫因提出不对称烯烃的加成规则而著称于世。
又知:①CH3CH2Br+NaCN
CH3CH2CN+NaBr
? ②CH3CH2CN ?
③CH3CH2COOH
CH3CHBrCOOH
有下列有机物之间的相互转化:
回答下列问题:
(1)B→C的反应类型为?;
(2)C→D、E→F的化学方程式为:
C→D ?,
E→F(F为高分子时)?。
(3)F可以有多种结构,写出下列情况下F的结构简式:
①分子式为C7H12O5?,②分子内含有一个七元环?。