时间:2017-08-26 02:42:22
1、选择题 邻甲基苯甲酸(
)有多种同分异构体,其中属于酯类,且分子结构
中有甲基和苯环的异构体有?
A.2种
B.3种
C.4种
D.5种
2、选择题 由于奸商的违法经营,已使“瘦肉精”变成了“害人精”。 “瘦肉精”的结构简式为
下列关于“瘦肉精”的说法中正确的是
[? ]
A.摩尔质量为313.5 g
B.属于芳香烃
C.分子式为C12H19C13N20
D.不能发生加成反应
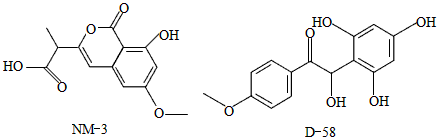
3、选择题 NM-3和D-58是正处于临床试验阶段的小分子抗癌药物,结构如下
关于NM-3和D-58的叙述,错误的是
[? ]
A.都能与NaOH溶液反应,原因不完全相同
B.都能与溴水反应,原因不完全相同
C.都不能发生消去反应,原因相同
D.遇FeCl3溶液都显色,原因相同
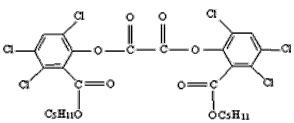
4、选择题 被称为“魔棒”的荧光棒已成为节日之夜青少年的喜爱之物,其发光原理是利用H2O2氧化草酸二酯产生能量,该能量被传递给荧光物质后便发出荧光。下列有关说法不正确的是
草酸二酯(CPPO)结构简式为:
[? ]
A.草酸二酯属于卤代烃或酯类
B.草酸二酯的分子式为:C26H24O8Cl6
C.如果在发光中途,把它放入冰箱的冷冻室中,发光便会停止或基本停止
D.1molCPPO与氢氧化钠稀溶液反应(苯环上卤素不水解),最多消耗6molNaOH
5、填空题 将下列12种有机物所属的类别填入下表:
①CH3-CH3 ; ②CH2=CH2 ;③
④
;⑤
⑥CH3-CH2Cl;⑦
;⑧
⑨CH3Cl;⑩
; CH3CH2OH;
CH3-C≡CH。
