时间:2017-08-07 15:37:01
1、简答题 如图所示,一质量为
的滑块静止在水平台面右端
点,另一质量为
的滑块从与
点相距
的
点以初速度
以向右运动,至
处与
发生弹性正碰。碰后
沿原路返回至台面
处静止,
经时间
落到地面上
点。已知两滑块均能看成质点,且
,
点离
处的水平距离为
,
与台面间的动摩擦因数为
,重力加速度为
,求:
(1)水平台面离地面的高度;
(2)
在
处的初速度
的大小;
(3)
点离
初始位置
的距离。
参考答案:
(1)
(2)
(3)
本题解析:(1)设水平台面离地面的高度为
因为碰撞后,
做平抛运动,其竖直方向遵守自由落体规律,所以有:
?①?解得
?(4分)
(2)设
与
碰撞前后瞬间速率分别为
,
,碰后
的瞬时速率为
。
因为
与
发生弹性碰撞,所以有:
?②?(2分)
?③?(2分)
且?
碰后,
做平抛运动:
?④?(1分)
由④式求得
,代入③④求解得:
,
(方向向左)?(1分)
因为
碰前做匀减速运动,其加速度大小为
,所以有:
?⑤
代入数据求解得:
?(2分)
(3)碰后,
从
向左做匀减速运动,至
处静止,设其位移为
?⑥?(2分)
代入数据求解得:
所以
点离
初始位置
的距离为:
?⑦?(2分)
本题难度:一般
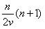
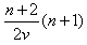
2、选择题 如图表示有n个相同的质点静止在光滑平面上的同一直线上,相邻的两个质点间的距离都是1m,在某时刻给第一个质点一个初速度v,依次与第二个、第三个……质点相碰,且每次碰后相碰的质点都粘在一起运动,则从第一个质点开始运动到与第n个质点相碰所经历的时间是 
[? ]
A. 
B. 
C. 
D.
参考答案:A
本题解析:
本题难度:一般
3、选择题 不定项选择
如图所示,光滑水平面上有大小相同的A、B两球在同一直线上运动。两球质量关系为mB=2mA,规定向右为正方向,A、B两球的动量均为6 kg·m/s,运动中两球发生碰撞,碰撞后A球的动量增量为-4 kg·m/s,则( ? )

参考答案:B
本题解析:
本题难度:一般
4、选择题 A、B两球在光滑水平面上作相向运动,已知mA>mB,当两球相碰后,其中一球静止,则可以断定
[? ]
参考答案:C
本题解析:
本题难度:一般
5、计算题 如图所示,木槽A质量为
,置于水平桌面上,木槽上底面光滑,下底面与桌面间的动摩擦因数为
,槽内放有两个滑块B和C(两滑块都看作质点),B、C的质量分别
,现用这两个滑块将很短的轻质弹簧压紧(两滑块与弹簧均不连接,弹簧长度忽略不计),此时B到木槽左端、C到木槽右端的距离均为L,弹簧的弹性势能为
。现同时释放B、C两滑块,并假定滑块与木槽的竖直内壁碰撞后不再分离,且碰撞时间极短,求:
(1)B、C与弹簧分离后,B、C的速度
(2)滑块B与槽壁第一次碰撞后的共同速度v1和滑块C与槽壁第二次碰撞后的共同速度v2;
(3)整个运动过程中,木槽与桌面因摩擦产生的热量Q
参考答案:(见解析)
本题解析:
(1)
(2)
?
(3)第一次碰撞后A与B的总动能全都转化为摩擦热
?
第二次碰撞后系统的总动能全都转化为摩擦热
?
整个过程中木槽和桌面因摩擦而产生的热量为
本题难度:一般