高考物理知识大全《碰撞》试题巩固(2017年最新版)(四)

时间:2017-08-07 15:37:01

微信搜索关注"91考试网"公众号,领30元,获取事业编教师公务员等考试资料40G

1、计算题  用放射源钋的α射线轰击铍时,能发射出一种穿透力极强的中性射线,这就是所谓铍“辐射”。1932年,查德威克用铍“辐射”分别照射(轰击)氢和氨(它们可视为处于静止状态)。测得照射后沿铍“辐射”方向高速运动的氨核和氦核的质量之比为7.0。查德威克假设铍“辐射”是由一种质量不为零的中性粒子构成的,从而通过上述实验在历史上首次发现了中子。假设铍“辐射”中的中性粒子与氢或氦发生弹性正碰,试在不考虑相对论效应的条件下计算构成铍“辐射”的中性粒子的质量。(质量用原子质量单位u表示,1 u等于1个12C原子质量的十二分之一。取氢核和氦核的质量分别为1.0 u和14 u。)


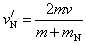
参考答案:解:设构成铍“辐射”的中性粒子的质量和速度分别为m和v,氢核的质量为mH。构成铍“辐射”的中性粒子与氢核发生弹性正碰,碰后两粒子的速度分别为v"和vH"
由动量守恒与能量守恒定律得:mv=mv′+mHvH′

解得:
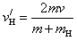
同理,对于质量为mN的氮核,其碰后速度为
可求得:
根据题意可知:vH′=7.0vN′
解得:m=1.2u


本题解析:


本题难度:困难



2、计算题  (选修3-5选做题)
如图所示,物体A、B的质量分别是mA=4kg、mB=6kg,用轻弹簧相连接放在光滑的水平面上,物体B左侧与竖直墙相接触。另有一个物体C以速度v0=6m/s向左运动,与物体A相碰,碰后立即与A粘在一起不再分开,然后以v=2m/s的共同速度压缩弹簧,试求:
(1)物块C的质量mC;
(2)在B离开墙壁之后,弹簧的最大弹性势能。



参考答案:解:(1)对A、C在碰撞过程中动量守恒
可知:
代入可得:=2kg
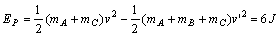
(2)当B离开墙壁时,弹簧处于原长,A、C以2m/s速度向右运动。当A、B、C获得共同速度时,弹簧弹性势能最大
对A、B、C系统,动量守恒可知:
可得:
由能量守恒可知:


本题解析:


本题难度:一般



3、计算题  在水平桌面上沿一条直线放两个完全相同的小物块A和B(可看作质点)质量均为m,它们相距s。B到桌边的距离是2s。对A施以瞬间水平冲量I,使A沿A、B连线以速度v0向B运动。设两物体碰撞时间很短,碰后不再分离。为使两物体能发生碰撞,且碰撞后又不会离开桌面,求:
(1)物体A、B与水平面间的动摩擦因数μ应满足什么条件;
(2)若,那么A、B碰撞过程系统损失的动能是多少?A、B停止运动时,到桌面右边缘的距离s′是多少?


参考答案:(1)≤μ<
(2)mv02/8,7s/4


本题解析:


本题难度:困难



4、计算题  (9分)如图所示,在光滑水平地面上,有一右端装有固定的竖直挡板的平板小车质量
m1=4.0kg,挡板上固定一轻质细弹簧.位于小车上A点处的质量为m2=1.0 kg的木块(视为质点)与弹簧的左端相接触但不连接,此时弹簧与木块间无相互作用力。木块与车面之间的摩擦可忽略不计。现小车与木块一起以v0=2.0 m/s的初速度向右运动,小车将与其右侧的竖直墙壁发生碰撞,已知碰撞时间极短,碰撞后小车以v1=1.0 m/s的速度水平向左运动,取g=10 m/s2。求:

(i)小车与竖直墙壁发生碰撞的过程中小车动量变化量的大小;
(ii)若弹簧始终处于弹性限度内,求小车撞墙后与木块相对静止时的速度大小和弹簧的最大弹性势能。


参考答案:(1)?(2)


本题解析:(ⅰ)以v1的方向为正方向,则小车与竖直墙壁发生碰撞的过程中,小车动量变化量的大小为??①?   2分
(ⅱ)小车与墙壁碰撞后向左运动,木块与小车间发生相对运动将弹簧压缩至最短时,二者速度大小相等,此后木块和小车在弹簧弹力的作用下,做变速运动,当两者具有相同速度时,二者相对静止。整个过程中,小车和木块组成的系统动量守恒
设小车和木块相对静止时的速度大小为v,根据动量守恒定律有
? ②     2分
解得??③     1分
当小车与木块首次达到共同速度时,弹簧压缩至最短,此时弹簧的弹性势能最大
设最大弹性势能为EP,根据机械能守恒定律可得
?④     2分
     ?⑤     2分


本题难度:困难



5、计算题  光滑水平面上,用弹簧相连接的质量均为2 kg的A、B两物体都以v0=6 m/s速度向右运动,弹簧处于原长。质量为4 kg的物体C静止在前方,如图所示,B与C发生碰撞后粘合在一起运动,在以后的运动中,求:
(1)弹性势能最大值为多少?
(2)当A的速度为零时,弹簧的弹性势能为多少?


参考答案:解:(1)B、C碰撞瞬间,B、C的总动量守恒,由动量守恒定律得:
mBv0=(mB+mC)v
v=2 m/s
三个物体速度相同时弹性势能最大,由动量守恒定律得:
mAv0+mBv0= (mA+mB+mC)v共
v共=3m/s
设最大弹性势能为Ep,由能量守恒得:
12 J
(2)当A的速度为零时,由动量定恒定律得:
mAv0+mBv0=(mB+mC)vBC
vBC=4 m/s
则此时的弹性势能


本题解析:


本题难度:困难




首页 上页 3 4 5 下页 尾页 4/10/10
微信搜索关注"91考试网"公众号,领30元,获取公务员事业编教师考试资料40G
【省市县地区导航】【考试题库导航】
 ★ 高考省级导航 ★ 
全国 A安徽 B北京 C重庆 F福建 G广东 广西 甘肃 贵州 H河南 河北 湖南 湖北 黑龙江 海南 J江苏 江西 吉林 L辽宁 N内蒙古 宁夏 Q青海 S山东 山西 陕西 四川 上海 T天津 X新疆 西藏 Y云南 Z浙江
 ★ 高考信息汇总 ★ 
 ★ 高考历年真题 ★ 
 ★ 高考历年真题 ★ 
 ★ 高考题库 ★ 
 ★ 高考题库 ★ 

电脑版  |  手机版  |  返回顶部