时间:2017-07-27 13:07:40
1、填空题 如图所示,直径为d的纸质圆筒以角速度
绕轴心O匀速转动。一子弹对准圆筒并沿直径射入圆筒,若圆筒旋转不到半周时间内,子弹先后留下a、b两个弹孔,且
(弧度),则子弹的速度为___________
____。
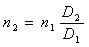
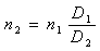
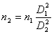
2、选择题 无级变速是在变速范围内任意连续地变换速度,性能优于传统的档位变速器。很多种高档汽车都应用了无级变速。如图所示是截锥式无级变速模型示意图,两个锥轮中间有一个滚轮,主动轮、滚轮、从动轮之间靠着彼此之间的摩擦力带动。当位于主动轮与从动轮之间的滚轮从左向右移动时从动轮转速降低,滚轮从右向左移动时从动轮转速增加。当滚轮位于主动轮直径D1,从动轮直径D2的位置上时,则主动轮转速n1,从动轮转速n2之间的关系是( ? )





3、选择题 下列关于匀速圆周运动的说法中,正确的是( )
A.是速度不变的运动
B.是角速度不变的运动
C.是角速度不断变化的运动
D.是相对圆心位移不变的运动
4、选择题 如图所示皮带传动装置,皮带轮O和O′上的三点A、B和C,OA=O′C=r,O′B=2r.则皮带轮转动时A、B、C三点的情况是(? )
A.vA=vB,vB>vC
B.ωA=ωB,vB>vC
C.vA=vB,ωB=ωC
D.ωA>ωB,vB=vC
5、选择题 下列物理量中是标量的是
A.向心加速度
B.周期
C.线速度
D.向心力