时间:2017-07-27 12:32:34
1、选择题 如图所示,实线为方向未知的三条电场线,a、b两带电粒子从电场中的O点以相同的初速度飞出.仅在电场力作用下,两粒子的运动轨迹如图中虚线所示,则(? )
A.a一定带正电,b一定带负电
B.a电势能减小,b电势能增大
C.a和b加速度都增大
D.a和b的动能一定都增大
参考答案:D
本题解析:粒子仅在电场力作用下做曲线运动,电场力一定指向曲线内侧,据此判断电场力对粒子都做正功,动能都增大,电势能都减小,选项B错D对。电场线的疏密程度表示电场强的的大小,由于b粒子向电场线密集的区域运动,所以电场力逐渐增大,加速度增大,而a粒子向电场线稀疏的区域偏转,电场力变小,加速度变小,选项C错。无法判断电场线的方向,所以不能判断粒子的正负,选项A错。
本题难度:简单
2、简答题 图甲所示的平行板电容器板间距离为d,两板所加电压随时间变化图线如图乙所示,t=0时刻,质量为m、带电量为q的粒子以平行于极板的速度V0射入电容器,t1=3T时刻恰好从下极板边缘射出电容器,带电粒子的重力不计,求:
(1)平行板电容器板长L;
(2)子射出电容器时偏转的角度φ;
(3)子射出电容器时竖直偏转的位移y。
?
参考答案:(1)L =3v0T ?(2)φ=arctan
(3)
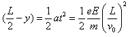
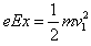
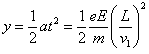
本题解析:(1)t=3T,○○方向匀速直线运动,L=v0t=3v0T
(2)射出电容器时,偏转角度为φ, tgφ=vy/v0,? vy=2at=
,?
∴φ=arctan
(3)电场方向粒子先匀加速再匀减速然后又匀加速至出电容器,
0~T,
? T~2T,
2T~3T,?
?∴?
本题难度:简单
3、简答题 在一竖直向下的匀强电场中放一绝缘的光滑半圆轨道,如图所示,在最高点放一质量为m、电荷量为+q的小球,使球从静止开始沿轨道下滑,若场强为E,则小球在轨道最低点对轨道压力为_________.
参考答案:3(mg+qE)
本题解析:对小球从开始到最低点,由动能定理得:qER+mgR=mv2/2?在最低点,由牛顿第二定律可知:N-mg-qE=mv2/R,所以,N=3(mg+qE).
本题难度:简单
4、计算题 长为L的平行金属板水平放置,两极板带等量的异种电荷,板间形成匀强电场,一个带电为+q、质量为m的带电粒子,以初速v0紧贴上板垂直于电场线方向进入该电场,刚好从下板边缘射出,射出时末速度恰与下板成30°角,如图所示,不计粒子重力,求:
(1)粒子末速度的大小;
(2)匀强电场的场强;
(3)两板间的距离。 
参考答案:
解:(1)由速度关系得:

(2)由牛顿第二定律得:
由平抛规律得:
,
得:
(3)由平抛规律得:
或
得:
本题解析:
本题难度:困难
5、计算题 如图所示为研究电子枪中电子在电场中运动的简化模型示意图。在Oxy平面的ABCD区域内,存在两个大小均为E的匀强电场I和II,两电场的边界均是边长为L的正方形(不计粒子所受重力)。
(1)在该区域AB边的中点处由静止释放电子,求电子离开ABCD区域的位置;
(2)在电场I区域内适当位置由静止释放电子,电子恰能从ABCD区域左下角D处离开,求所有释放点的位置。 
参考答案:解:(1)设电子的质量为m,电量为e,电子在电场I中做匀加速直线运动,出区域I时的为v0,此后电场II做类平抛运动,假设电子从CD边射出,出射点纵坐标为y,有 

解得y=
,所以原假设成立,即电子离开ABCD区域的位置坐标为(-2L,
)
(2)设释放点在电场区域I中,其坐标为(x,y),在电场I中电子被加速到v1,然后进入电场II做类平抛运动,并从D点离开,有 

解得xy=
,即在电场I区域内满足议程的点即为所求位置
本题解析:
本题难度:困难