高考物理高频考点《匀变速直线运动基本公式应用》试题特训(2017年最新版)(三)

时间:2017-07-17 08:38:41

微信搜索关注"91考试网"公众号,领30元,获取事业编教师公务员等考试资料40G

1、选择题  两辆完全相同的汽车,沿水平道路一前一后匀速行驶,速度均为υ0.若前车突然以恒定的加速度a刹车,在它刚停住时,后车以加速度2a开始刹车.已知前车在刹车过程中所行驶的路程为x,若要保证两辆车在上述情况中不发生碰撞,则两车在匀速行驶时保持的距离至少应为(  )
A.x
B.
C.2x
D.


参考答案:B


本题解析:


本题难度:简单



2、计算题  在平直公路上,一辆自行车以6 m/s的速度匀速行驶,一辆汽车在自行车正后方同向行驶,当汽车与自行车距离为12m时,汽车的速度为10m/s,并于此时关闭了发动机,而以1m/s2的加速度匀减速行驶。两车都看作质点,求:
(1)汽车是否会撞到前面的自行车?如果会撞到,计算出所用的时间,如果不会撞到,计算出与自行车的最小距离;
(2)当汽车停下时,二车间的距离是多少?


参考答案:(1)不会撞到,最小距离4m
(2)2m


本题解析:


本题难度:一般



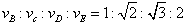
3、选择题  光滑斜面AE被分成四个长度相等的部分,即AB=BC=CD=DE,将一物体从A点由静止释放,下列结论不正确的 是
[? ]
A.物体到达各点的速率之比为
B.物体到达各点所经历的时间
C.物体从A运动到E全过程的平均速度
D.物体通过每一部分时,其速度增量vB-vA=vC-vB=vD-vC=vE-vD


参考答案:D


本题解析:


本题难度:一般



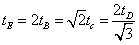
4、填空题  一辆做匀速直线运动的汽车,在5s内先后经过相距50m的两根电线杆A、B。汽车在经过B杆时开始做匀加速直线运动,到达另一电线杆C时的速度是15m/s。如果B、C两电线杆也相距50m,则汽车的加速度是______________m/s2,从B到C经历的时间是______________。


参考答案:1.25,4s


本题解析:


本题难度:一般



5、选择题  物体由静止开始运动,加速度恒定,在第7s内的初速度是2.6m/s,则物体的加速度是(?)
A.
B.
C.
D.


参考答案:D


本题解析:略


本题难度:简单




首页 上页 2 3 4 下页 尾页 3/10/10
微信搜索关注"91考试网"公众号,领30元,获取公务员事业编教师考试资料40G
【省市县地区导航】【考试题库导航】
 ★ 高考省级导航 ★ 
全国 A安徽 B北京 C重庆 F福建 G广东 广西 甘肃 贵州 H河南 河北 湖南 湖北 黑龙江 海南 J江苏 江西 吉林 L辽宁 N内蒙古 宁夏 Q青海 S山东 山西 陕西 四川 上海 T天津 X新疆 西藏 Y云南 Z浙江
 ★ 高考信息汇总 ★ 
 ★ 高考历年真题 ★ 
 ★ 高考历年真题 ★ 
 ★ 高考题库 ★ 
 ★ 高考题库 ★ 

电脑版  |  手机版  |  返回顶部