高考物理高频考点《匀变速直线运动基本公式应用》试题特训(2017年最新版)(十)

时间:2017-07-17 08:38:41

微信搜索关注"91考试网"公众号,领30元,获取事业编教师公务员等考试资料40G

1、计算题  正以30 m/s的速率运行的列车,接到前方小站的请求,在该站停靠1 min,接一个危重病人上车。司机决定以大小为0.6 m/s2的加速度匀减速运动到小站且恰在小站停下,停车1 min后以1.0 m/s2的加速度匀加速启动,恢复到原来的速度行驶。求由于临时停车,共耽误了多长时间?


参考答案:解:以列车原运动方向为正方向,设列车匀减速运动的时间为t1,a1=-0.6m/s2
由v=v0+at得
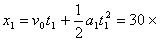
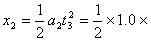
设减速过程中行驶位移为x1,则:
停靠时间t2=60 s
设加速运动的时间为t3,则由v0=a2t3得30 s
加速过程中行驶位移为x2,则:302m=450 m
从开始制动到恢复原来速度共经历时间:t=t1+t2+t3=50s+60s+30s=140 s
若列车以原速率匀速驶过x=x1+x2位移,需时间:t"=
故共耽误时间△t=t-t"=140s-40s=100 s


本题解析:


本题难度:困难



2、选择题  物体从A点静止出发,做匀加速直线运动,紧接着又做匀减速直线运动,到达B点时恰好停止。则在先后两个运动过程中
[? ]
A.时间一定相同
B.平均速度一定相同
C.加速度的大小一定相同
D.物体通过的路程一定相等


参考答案:B


本题解析:


本题难度:一般



3、选择题  给滑块一初速度v0使它沿光滑斜面向上做匀减速运动,加速度大小为,当滑块速度大小变为时,所用时间可能是(  )
A.
B.
C.
D.


参考答案:BC


本题解析:规定初速度的方向为正方向,若滑块的末速度与初速度方向相同,则
若滑块的末速度与初速度方向相反,则.故BC正确,AD错误.
故选BC.
点评:解决本题的关键掌握匀变速直线运动的速度时间公式,以及注意物体末速度的方向可能与初速度方向相同,也有可能与初速度方向相反.


本题难度:一般



4、计算题  长为1.5m的长木板B静止放在水平冰面上,小物块A以某一初速度从木板B的左端滑上长木板B,直到A、B的速度达到相同,此时A、B的速度为0.4m/s,然后A、B又一起在水平冰面上滑行了8.0cm后停下.若小物块A可视为质点,它与长木板B的质量相同都为2kg,A、B间的动摩擦因数μ1=0.25.求:(取g=10m/s2)
(1)木块与冰面的动摩擦因数μ2.
(2)全过程产生的总热量Q.
(3)为了保证小物块不从木板的右端滑落,小物块滑上长木板的初速度应为多大?


参考答案:解:
(1)A、B一起运动时,受冰面对它的滑动摩擦力,做匀减速运动,加速度解得木板与冰面的动摩擦因数μ2=0.10;
(2)小物块A受木板对它的滑动摩擦力,做匀减速运动,加速度a1=μ1g=2.5m/s2,小物块A在木板上滑动,木块B受小物块A的滑动摩擦力和冰面的滑动摩擦力,做匀加速运动,有μ1mg-μ2(2m)g=ma2
解得加速度a2=0.50m/s2,
设小物块滑上木板时的初速度为v10,经时间t后A、B的速度相同为v
由长木板的运动得v=a2t,解得滑行时间
小物块滑上木板的初速度 v10=v+a1t=2.4m/s
小物块A在长木板B上滑动的距离
AB间产生热Q=μ1mgΔs=4.8J,木板B总位移为Δs2=at2+0.08=0.24m
则B与冰面之间产生热量Q2=μ22mgΔs=0.96J,总热量Q=Q1+ Q2=5.76J(由能量守恒解得:
总热量Q=mv102/2=5.76J 也可)
(3)小物块A滑上长木板的初速度越大,它在长木板B上相对木板滑动的距离越大,当滑动距离等于木板长时,物块A达到木板B的最右端,两者的速度相等(设为v′),这种情况下A的初速度为保证不从木板上滑落的最大初速度,设为v0.

由以上三式解得,为了保证小物块不从木板的右端滑落,小物块滑上长木板的初速度不大于最大初速度


本题解析:


本题难度:困难



5、选择题  汽车刹车后开始做匀减速运动,第1秒内和第2秒内的位移分别为3m和2m,那么从2秒末开始,再经过3s汽车滑行的距离是

[? ]


A.1.5m
B.1.25m
C.1.125m
D.1m


参考答案:C


本题解析:


本题难度:一般



The more we study, the more we discover our ignorance. 读书越多,越感到学识不足.

首页 上页 9 10 下页 尾页 10/10/10
微信搜索关注"91考试网"公众号,领30元,获取公务员事业编教师考试资料40G
【省市县地区导航】【考试题库导航】
 ★ 高考省级导航 ★ 
全国 A安徽 B北京 C重庆 F福建 G广东 广西 甘肃 贵州 H河南 河北 湖南 湖北 黑龙江 海南 J江苏 江西 吉林 L辽宁 N内蒙古 宁夏 Q青海 S山东 山西 陕西 四川 上海 T天津 X新疆 西藏 Y云南 Z浙江
 ★ 高考信息汇总 ★ 
 ★ 高考历年真题 ★ 
 ★ 高考历年真题 ★ 
 ★ 高考题库 ★ 
 ★ 高考题库 ★ 

电脑版  |  手机版  |  返回顶部