时间:2017-07-10 22:17:48
1、计算题 如图(甲)所示,两光滑导轨都由水平、倾斜两部分圆滑对接而成,相互平行放置,两导轨相距L=lm ,倾斜导轨与水平面成θ=30°角,倾斜导轨的下面部分处在一垂直斜面的匀强磁场区I中,I区中磁场的磁感应强度B1随时间变化的规律如图(乙)所示,图中t1、t2未知。水平导轨足够长,其左端接有理想的灵敏电流计G和定值电阻R=3Ω,水平导轨处在一竖直向上的匀强磁场区Ⅱ中,Ⅱ区中的磁场恒定不变,磁感应强度大小为B2=1T ,在t=0时刻,从斜轨上磁场I 区外某处垂直于导轨水平释放一金属棒ab,棒的质量m=0.1kg,电阻r=2Ω,棒下滑时与导轨保持良好接触,棒由斜轨滑向水平轨时无机械能损失,导轨的电阻不计。若棒在斜面上向下滑动的整个过程中,灵敏电流计G的示数大小保持不变,t2时刻进入水平轨道,立刻对棒施一平行于框架平面沿水平方向且与杆垂直的外力。(g取10m/s2)求:
(1)磁场区I在沿斜轨方向上的宽度d;
(2)棒从开始运动到刚好进入水平轨道这段时间内ab棒上产生的热量;
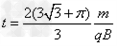
(3)若棒在t2时刻进入水平导轨后,电流计G的电流大小I随时间t变化的关系如图(丙)所示(I0未知),已知t2到t3的时间为0.5s,t3到t4的时间为1s,请在图(丁)中作出t2到t4时间内外力大小F随时间t变化的函数图像。
参考答案:(1)d=0.625m(2)0.375J(3)
本题解析:(1)电流表的示数不变,说明在整个下滑过程中回路的的电动势是不变的,说明在B变化时和不变时感应电动势大小一样,所以可以判断在t1时刻棒刚好进入磁场区域且做匀速直线运动。
mgsin
-BIL=0,?
,? E1=BLV,?代入数值得v=2.5m/s
没进入磁场以前做匀加速直线运动,加速度是? a=gsin300=5m/s2,? v=at,? t1=0.5s? ,下滑的距离是s1=
at2=0.625m,再没进入磁场以前,由于B均匀变化,所以E2=
,?又E1=BLV? E1= E2?,? 4
1
d=1
1
2.5,? d="0.625m"
(2)ab棒进入磁场以前,棒上产生的热量为? Q1=I2rt1=0.52×2×0.5J=0.25J
取ab棒在斜轨磁场中运动为研究过程,? mgd sin
-Q2=0? Q2="0.3125J."
此时,棒上产生的热量是Q2r=
=0.125J?
则棒上产生的总热量是Qr= Q1+Q2r="0.375" J
或:Qr=I2R(t1+t2)=0.52×2×(0.5+0.25)J=0.375J
(3)因为E=BLv,所以刚进水平轨道时时的电动势是E=2.5V,? I0=
=0.5A
取t2时刻为零时刻,则根据图线可以写出I-t的方程式:I=0.5-tˊ,I=
,
则v="2.5-5" tˊ,所以a1=5m/s2.有牛顿第二定律可得:F+BIL=ma1, F=tˊ
画在坐标系里。
由丙图可以同理得出棒运动的加速度大小是a2=2.5m/s2,依据牛顿定律得F-BIL=ma2
取t3时刻为零时刻,可以写出t3时刻后的I与时间的关系式,I="0.5" t ,代入上面的式子可以得到F=0.25+0.5t画在坐标系里。(图中图线作为参考) 
本题考查电磁感应定律与牛顿定律、恒定电流、图像的结合问题,根据电流不变,可知到导体棒做匀速运动,由受力平衡求出电流和距离,电路中克服安培力做功等于产生的焦耳热,由焦耳定律求得电阻上的焦耳热分配,由力与加速度的关系画图像
本题难度:一般
2、选择题 如图所示,正离子束以正对着荧光屏上的坐标原点O的水平速度v0先后通过沿竖直方向的匀强电场E和匀强磁场B,最后打在荧光屏的第Ⅲ象限中,则电场E和磁场B的方向是( )
A.E竖直向上,B竖直向上
B.E竖直向下,B竖直向下
C.E竖直向上,B竖直向下
D.E竖直向下,B竖直向上
参考答案:由题意及可知,电子在电场中受力应向下,故电场方向竖直向下;
而粒子在磁场作用下向x轴方向偏转,故说明洛仑兹力向x轴负方向,根据左手定则知,磁场方向竖直向上.故D正确,A、B、C错误.
故选D.
本题解析:
本题难度:一般
3、计算题 如图所示,虚线MO与水平线PQ相交于O,二者夹角θ=30°,在MO左侧存在电场强度为E、方向竖直向下的匀强电场,MO右侧某个区域存在磁感应强度为B、垂直纸面向里的匀强磁场,O点处在磁场的边界上,现有一群质量为m、电量为+q的带电粒子在纸面内以速度v(0≤v≤
)垂直于MO从O点射入磁场,所有粒子通过直线MO时,速度方向均平行于PQ向左,不计粒子的重力和粒子间的相互作用力,求:?
(1)速度最大的粒子自O开始射入磁场至返回水平线POQ所用的时间.?
(2)磁场区域的最小面积.
参考答案:解:(1)粒子的运动轨迹如图所示,设粒子在匀强磁场中做匀速圆周运动的半径为R,周期为T,粒子在匀强磁场中运动时间为t1
则
,即
?①
②
? ③
设粒子自N点水平飞出磁场,出磁场后应做匀速运动至OM,设匀速运动的距离为s,匀速运动的时间为t2,由几何关系知:
S=Rcotθ?④
?⑤
过MO后粒子做类平抛运动,设运动的时间为t3
则:
?⑥
又由题知:
? ⑦
则速度最大的粒子自O进入磁场至重回水平线POQ所用的时间
⑧
解①②③④⑤⑥⑦⑧得:
(2)由题知速度大小不同的粒子均要水平通过OM,则其飞出磁场的位置均应在ON的连线上,故磁场范围的最小面积
是速度最大的粒子在磁场中的轨迹与ON所围成的面积。扇形
的面积
⑨
的面积为:
⑩
又
?
联立①⑦⑨⑩
得
或
本题解析:
本题难度:困难
4、计算题 如图,半径为b、圆心为Q (b, 0) 点的圆形区域内有垂直纸面向里的匀强磁场,在第一象限内,虚线x=2b左侧与过圆形区域最高点P的切线y=b上方所围区域有竖直向下的匀强电场。其它的地方既无电场又无磁场。一带电粒子从原点O沿x轴正方向射入磁场,经磁场偏转后从P点离开磁场进入电场,经过一段时间后,最终打在放置于x=3b的光屏上。已知粒子质量为m、电荷量为q (q> 0), 磁感应强度大小为B, 电场强度大小
,粒子重力忽略不计。求:
(1)粒子从原点O射入的速率v
(2)粒子从原点O射入至到达光屏所经历的时间t;
(3)若大量上述粒子以(1) 问中所求的速率,在xOy平 面内沿不同方向同时从原点O射入,射入方向分布 在图中45°范围内,不考虑粒子间的相互作用,求粒子先后到达光屏的最大时间差t0
(本题18分,第1小题3分,第2小题5分,第3小题10分)
参考答案:(1)
(2)
(3)
本题解析:(1)带电粒子垂直进入匀强磁场做匀速圆周运动,设粒子运动的半径为
则有
,沿半径反向进入磁场又沿半径方向离开匀强磁场,轨迹如下图
有几何关系得
?
整理得
(2)粒子从O点沿x轴进入磁场后,从P点竖直向上离开磁场进入匀强电场,匀减速到0后又竖直向下匀加速进入磁场,继续圆周运动偏转90度后从x轴正方向离开磁场,如下图。
粒子在磁场中运动的周期为
,粒子在磁场中共运动两个四分之一圆周,运动的时间为
在电场中做类竖直上抛运动,
?时间
粒子在无场区中做匀速直线运动到O’点时间:
粒子到屏所经历的时间:
代入速度v的表达式,得:
(3)粒子从O点沿与x轴成
入射后,速度不变,磁场不变所以半径不变。圆形磁场半径和圆周运动的半径的相同,因此图中的四边形为菱形,边长都为b,粒子沿+y方向离开磁场,再射入电场,之后又经N点沿与O点相同的入射速度离开磁场,粒子在磁场中偏转的圆心角之和为


粒子在场区中运动的时间
粒子在无场区中做匀速运动:
?
粒子到光屏的时间:
沿x正方向进入的粒子,最先到光屏,沿450进入粒子最后达到光屏,时间差为:
得: 
本题难度:一般
5、选择题 下图为一“滤速器”装置的示意图a、b为水平放置的平行金属板,一束具有各种不同速率的电子沿水平方向经小孔O进入a、b两板之间为了选取具有某种特定速率的电子,可在a、b间加上电压,并沿垂直于纸面的方向加一匀强磁场,使所选电子仍能够沿水平直线OO"运动,由O"射出不计重力作用可能达到上述目的的办法是 
[? ]
A.使a板电势高于b板,磁场方向垂直纸面向里
B.使a板电势低于b板,磁场方向垂直纸面向里
C.使a板电势高于b板,磁场方向垂直纸面向外
D.使a板电势低于b板,磁场方向垂直纸面向外
参考答案:AD
本题解析:
本题难度:一般