-->

1、简答题  一子弹击中木板时的速度是800m/s,历时0.2s穿出木板,穿出时子弹的速度为300m/s,求(1)子弹穿过木板时的加速度
(2)木板的厚度。


参 ">

高中物理知识点复习《匀变速直线运动基本公式应用》高频试题预测(2017年最新版)

时间:2017-07-10 21:11:13

微信搜索关注"91考试网"公众号,领30元,获取事业编教师公务员等考试资料40G

1、简答题  一子弹击中木板时的速度是800m/s,历时0.2s穿出木板,穿出时子弹的速度为300m/s,求(1)子弹穿过木板时的加速度
(2)木板的厚度。


参考答案:(1)a=-2500m/s
(2) 110m


本题解析:
(1)选初速度方向为正方向,则有:
V0=\"800m/s?\" V =\"300m/s?\" t =0.2s
则a=\"(V\" - V0 )/t = -2500m/s
负号说明a方向与V0相反。
(2)要板厚度设为X,则有:
X= (V0+V)t/2=110m


本题难度:简单



2、计算题  长为1.5m的长木板B静止放在水平冰面上,小物块A以某一初速度从木板B的左端滑上长木板B,直到A、B的速度达到相同,此时A、B的速度为0.4m/s,然后A、B又一起在水平冰面上滑行了8.0cm后停下.若小物块A可视为质点,它与长木板B的质量相同都为2kg,A、B间的动摩擦因数μ1=0.25.求:(取g=10m/s2)
(1)木块与冰面的动摩擦因数μ2.
(2)全过程产生的总热量Q.
(3)为了保证小物块不从木板的右端滑落,小物块滑上长木板的初速度应为多大?
600)makesmallpic(this,600,1800);\' style=\"VERTICAL-ALIGN: middle\" border=\"0\" src=\"http://www_php168_com/91files/2016060606/2y0xx3zwmyg.gif\">


参考答案:解:
(1)A、B一起运动时,受冰面对它的滑动摩擦力,做匀减速运动,加速度600)makesmallpic(this,600,1800);\' style=\"VERTICAL-ALIGN: middle\" border=\"0\" src=\"http://www_php168_com/91files/2016060606/rzd5dzolvlt.gif\">解得木板与冰面的动摩擦因数μ2=0.10;
(2)小物块A受木板对它的滑动摩擦力,做匀减速运动,加速度a1=μ1g=2.5m/s2,小物块A在木板上滑动,木块B受小物块A的滑动摩擦力和冰面的滑动摩擦力,做匀加速运动,有μ1mg-μ2(2m)g=ma2
解得加速度a2=0.50m/s2,
设小物块滑上木板时的初速度为v10,经时间t后A、B的速度相同为v
由长木板的运动得v=a2t,解得滑行时间600)makesmallpic(this,600,1800);\' style=\"VERTICAL-ALIGN: middle\" border=\"0\" src=\"http://www_php168_com/91files/2016060606/1uerd2mygl2.gif\">
小物块滑上木板的初速度 v10=v+a1t=2.4m/s
小物块A在长木板B上滑动的距离600)makesmallpic(this,600,1800);\' style=\"VERTICAL-ALIGN: middle\" border=\"0\" src=\"http://www_php168_com/91files/2016060606/emhh4s1noqf.gif\">
AB间产生热Q=μ1mgΔs=4.8J,木板B总位移为Δs2=600)makesmallpic(this,600,1800);\' style=\"VERTICAL-ALIGN: middle\" border=\"0\" src=\"http://www_php168_com/91files/2016060606/x0u02wkt0pw.gif\">at2+0.08=0.24m
则B与冰面之间产生热量Q2=μ22mgΔs=0.96J,总热量Q=Q1+ Q2=5.76J(由能量守恒解得:
总热量Q=mv102/2=5.76J 也可)
(3)小物块A滑上长木板的初速度越大,它在长木板B上相对木板滑动的距离越大,当滑动距离等于木板长时,物块A达到木板B的最右端,两者的速度相等(设为v′),这种情况下A的初速度为保证不从木板上滑落的最大初速度,设为v0.
600)makesmallpic(this,600,1800);\' style=\"VERTICAL-ALIGN: middle\" border=\"0\" src=\"http://www_php168_com/91files/2016060606/k5gdm4kglv2.gif\">,600)makesmallpic(this,600,1800);\' style=\"VERTICAL-ALIGN: middle\" border=\"0\" src=\"http://www_php168_com/91files/2016060606/bbii00513f2.gif\">
由以上三式解得,为了保证小物块不从木板的右端滑落,小物块滑上长木板的初速度不大于最大初速度
600)makesmallpic(this,600,1800);\' style=\"VERTICAL-ALIGN: middle\" border=\"0\" src=\"http://www_php168_com/91files/2016060606/za122eiujf4.gif\">。


本题解析:


本题难度:困难



3、计算题  (12分)如图所示,物体从光滑斜面上的A点由静止开始下滑,经过B点后进入水平面(设经过B点前后速度大小不变),最后停在C点。每隔0.2秒钟通过速度传感器测量物体的瞬时速度,下表给出了部分测量数据。(重力加速度g=10m/s2)求:
600)makesmallpic(this,600,1800);\' src=\"http://www_php168_com/91files/2016060606/gnonefdhf4g.png\" style=\"vertical-align:middle;\">
600)makesmallpic(this,600,1800);\' src=\"http://www_php168_com/91files/2016060606/gfjmzbysrjw.png\" style=\"vertical-align:middle;\">
(1)斜面的倾角a;
(2)物体与水平面之间的动摩擦因数m;
(3)AB与BC的长度之比。


参考答案:(1)30°  (2) 600)makesmallpic(this,600,1800);\' src=\"http://www_php168_com/91files/2016060606/yv2fh4amjnr.png\" style=\"vertical-align:middle;\">  (3) 600)makesmallpic(this,600,1800);\' src=\"http://www_php168_com/91files/2016060606/np45iphqhrv.png\" style=\"vertical-align:middle;\">


本题解析:解决本题的关键审要抓住物体在斜面上和水平面上运动之间速度关系,由表格读出物体在斜面上运动的速度与对应的时间,研究物体在斜面上运动情况.
(1)由前三列数据可知物体在斜面上匀加速下滑时的加速度为
600)makesmallpic(this,600,1800);\' src=\"http://www_php168_com/91files/2016060606/fn2xvj5jylh.png\" style=\"vertical-align:middle;\">?
根据牛顿第二定律得:600)makesmallpic(this,600,1800);\' src=\"http://www_php168_com/91files/2016060606/ywhjsuamwwf.png\" style=\"vertical-align:middle;\">?
代入数据解得:a=30°,?
(2)由后二列数据可知物体在水平面上匀减速滑行时的加速度大小为
600)makesmallpic(this,600,1800);\' src=\"http://www_php168_com/91files/2016060606/43y1ahaeyd3.png\" style=\"vertical-align:middle;\">
根据牛顿第二定律得: 600)makesmallpic(this,600,1800);\' src=\"http://www_php168_com/91files/2016060606/nauxsxkskmu.png\" style=\"vertical-align:middle;\">  
解得:600)makesmallpic(this,600,1800);\' src=\"http://www_php168_com/91files/2016060606/e4mj4uk4a30.png\" style=\"vertical-align:middle;\">
(3)设物体到达B点时的速度为600)makesmallpic(this,600,1800);\' src=\"http://www_php168_com/91files/2016060606/44x5mef0p0b.png\" style=\"vertical-align:middle;\">,由于斜面上匀加速运动的末速度等于水平面匀减速运动的初速度,则由匀变速直线运动规得:
600)makesmallpic(this,600,1800);\' src=\"http://www_php168_com/91files/2016060606/sr5qysjlvp4.png\" style=\"vertical-align:middle;\">  
600)makesmallpic(this,600,1800);\' src=\"http://www_php168_com/91files/2016060606/s0wqjskcovz.png\" style=\"vertical-align:middle;\">   
联立解得:600)makesmallpic(this,600,1800);\' src=\"http://www_php168_com/91files/2016060606/vknq5xh42qz.png\" style=\"vertical-align:middle;\">


本题难度:一般



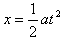
4、计算题  由静止开始做匀加速直线运动的汽车,第1 s内通过的位移为0.4m,问:
(1)汽车在第1s末的速度为多大?
(2)汽车在第2s内通过的位移为多大?


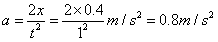
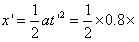
参考答案:解:(1)由600)makesmallpic(this,600,1800);\' style=\"VERTICAL-ALIGN: middle\" border=\"0\" src=\"http://www_php168_com/91files/2016060605/zyfim0kylnn.gif\">得:600)makesmallpic(this,600,1800);\' style=\"VERTICAL-ALIGN: middle\" border=\"0\" src=\"http://www_php168_com/91files/2016060605/44ukrngvrgr.gif\">
所以汽车在第1 s末的速度为:v1=at=0.8×1m/s= 0.8 m/s
(2)汽车在前2 s内通过的位移为600)makesmallpic(this,600,1800);\' style=\"VERTICAL-ALIGN: middle\" border=\"0\" src=\"http://www_php168_com/91files/2016060605/4ftwryxwsku.gif\">22m=1.6 m
所以第2 s内汽车通过的位移为:x2=x\"-x=1.6 m-0.4m=1.2m


本题解析:


本题难度:一般



5、选择题  如图所示,以8m/s匀速行驶的汽车即将通过路口,绿灯还有2s将熄灭,此时汽车距离停车线18m。该车加速时最大时速度大小为2m/s2,减速时最大加速度大小为5m/s2。此路段允许行驶的最大速度为12.5m/s,下列说法中正确的有
600)makesmallpic(this,600,1800);\' style=\"VERTICAL-ALIGN: middle\" border=\"0\" src=\"http://www_php168_com/91files/2016060605/cmyheq1vzuq.gif\">
[? ]
A.如果立即做匀加速运动,在绿灯熄灭前汽车可能通过停车线
B.如果立即做匀加速运动,在绿灯熄灭前通过停车线汽车一定超速
C.如果立即做匀减速运动,在绿灯熄灭前汽车一定不能通过停车线
D.如果距停车线600)makesmallpic(this,600,1800);\' style=\"VERTICAL-ALIGN: middle\" border=\"0\" src=\"http://www_php168_com/91files/2016060605/bzhrvmp2q4z.gif\">处减速,汽车能停在停车线处


参考答案:AC


本题解析:


本题难度:一般



In our expenditure the item that costs most is time. 在我们的消费中,时间是最昂贵的一项.

微信搜索关注"91考试网"公众号,领30元,获取公务员事业编教师考试资料40G
【省市县地区导航】【考试题库导航】
 ★ 高考省级导航 ★ 
全国 A安徽 B北京 C重庆 F福建 G广东 广西 甘肃 贵州 H河南 河北 湖南 湖北 黑龙江 海南 J江苏 江西 吉林 L辽宁 N内蒙古 宁夏 Q青海 S山东 山西 陕西 四川 上海 T天津 X新疆 西藏 Y云南 Z浙江
 ★ 高考信息汇总 ★ 
 ★ 高考历年真题 ★ 
 ★ 高考历年真题 ★ 
 ★ 高考题库 ★ 
 ★ 高考题库 ★ 

电脑版  |  手机版  |  返回顶部