-->

1、选择题  如图所示,光滑水平面上有大小相同的A、B两球在同一直线上运动。两球质量关系为mB=2mA,规定向右为正方向,A、B两球的动量均为6 kg·m/s,运动中两球发生碰撞,碰撞后A球 ">

高考物理答题模板《碰撞》高频考点特训(2017年练习版)

时间:2017-03-05 17:44:06

微信搜索关注"91考试网"公众号,领30元,获取事业编教师公务员等考试资料40G

1、选择题  如图所示,光滑水平面上有大小相同的A、B两球在同一直线上运动。两球质量关系为mB=2mA,规定向右为正方向,A、B两球的动量均为6 kg·m/s,运动中两球发生碰撞,碰撞后A球的动量增量为-4 kg·m/s,则( ? )

600)makesmallpic(this,600,1800);\' src=\"http://www_php168_com/91files/2016060502/3yhqoeojxxk.gif\" border=\"0\">


A.左方是A球,碰撞后A、B两球速度大小之比为2∶5
B.左方是A球,碰撞后A、B两球速度大小之比为1∶10
C.右方是A球,碰撞后A、B两球速度大小之比为2∶5
D.右方是A球,碰撞后A、B两球速度大小之比为1∶10



2、实验题  如图所示,在水平光滑轨道上停着甲、乙两辆实验小车,甲车系一穿过打点计时600)makesmallpic(this,600,1800);\' style=\"WIDTH: 1px; HEIGHT: 1px; VERTICAL-ALIGN: middle\" src=\"http://www_php168_com/91files/2016060502/2lu41vqycm2.png\">器的纸带,当甲600)makesmallpic(this,600,1800);\' style=\"WIDTH: 1px; HEIGHT: 1px; VERTICAL-ALIGN: middle\" src=\"http://www_php168_com/91files/2016060502/3hs2kqxkw3r.png\">车获得某一向右速度时,随即启动打点计时器,甲车运动一段距离后,与静止的乙车发生正碰并粘在一起运动。纸带记录下碰撞前甲车和碰撞后两车运动情况如图所示。电源频率为50 Hz,则碰撞前甲车运动速度大小为________m/s,甲、乙两车碰撞后的速度大小为________m/s,该碰撞属于________碰撞。
600)makesmallpic(this,600,1800);\' style=\"WIDTH: 234px; HEIGHT: 125px; VERTICAL-ALIGN: middle\" src=\"http://www_php168_com/91files/2016060502/sppj4bswgtd.png\">



3、计算题  如图所示,足够长的绝缘光滑水平面上分别固定着大小、形状完全相同的两个物体A、B,相距L=0.2 m,它们的质量mA=mB=0.2kg,其中A物体带正电,电量q=2×10-8C,B物体不带电。水平面上方存在水平向右的匀强电场,场强E=2.5×107N/C,在t=0时刻同时撤去固定两物体的外力后,A物体将沿水平面向右运动,并与B物体发生连续碰撞(碰撞时间极短),两物体碰撞时A物体电量不发生变化,并且每次碰撞时两物体速度均发生相互交换(g取10m/s2)。求:
(1)从A开始运动到两物体第一次相碰经历的时间;
(2)第二次碰撞时,A物体对B物体做的功;
(3)从开始至第n次碰撞时B物体通过的路程。
600)makesmallpic(this,600,1800);\' style=\"VERTICAL-ALIGN: middle\" src=\"http://www_php168_com/91files/2016060502/3yssqremdp0.gif\">



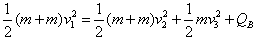
4、计算题  如图所示,一质量为m的小物块B,放在质量为M的长木板A的左端,m=3M。长木板A静止在光滑水平面上,A、B之间的动摩擦因数为μ。现使二者一起以初速度600)makesmallpic(this,600,1800);\' style=\"VERTICAL-ALIGN: middle\" src=\"http://www_php168_com/91files/2016060502/rfyn2lyhifn.gif\">开始向右运动,运动一段距离后,长木板A与固定竖直挡板相撞。已知A与挡板碰撞时间极短,且无机械能损失。运动过程中,B始终没从长木板A上脱落。求:
(1)长木板A第二次与挡板碰撞前,B在A上的滑痕长度s;
(2)当长木板A长度L满足什么条件时,保证B不会从A上脱落。
600)makesmallpic(this,600,1800);\' style=\"VERTICAL-ALIGN: middle\" src=\"http://www_php168_com/91files/2016060502/5sxmryqufot.gif\">



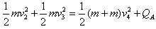
5、计算题  如图所示,A、B、C三个物体质量均为m,其中厚度相同的A、B位于光滑的水平面上,可视为质点的小 物体C放在静止的物体B上,物体A以速度v0向物体B运动,与物体B发生碰撞(碰撞时间极短),碰后A、B以相同的速度运动,但互不粘连;物体C滑过物体B后又在物体A上滑行,最后停在物体A上,与物体A一起以600)makesmallpic(this,600,1800);\' style=\"VERTICAL-ALIGN: middle\" border=\"0\" src=\"http://www_php168_com/91files/2016060502/cxzbfi0u0ry.gif\">的速度运动。求:
(1)物体B最终的速度;
(2)小物体C在物体A和物体B上滑行过程中由于摩擦产生的热量之比。
600)makesmallpic(this,600,1800);\' style=\"VERTICAL-ALIGN: middle\" border=\"0\" src=\"http://www_php168_com/91files/2016060502/ukvdyv4yvig.gif\">




微信搜索关注"91考试网"公众号,领30元,获取公务员事业编教师考试资料40G
【省市县地区导航】【考试题库导航】
 ★ 高考省级导航 ★ 
全国 A安徽 B北京 C重庆 F福建 G广东 广西 甘肃 贵州 H河南 河北 湖南 湖北 黑龙江 海南 J江苏 江西 吉林 L辽宁 N内蒙古 宁夏 Q青海 S山东 山西 陕西 四川 上海 T天津 X新疆 西藏 Y云南 Z浙江
 ★ 高考信息汇总 ★ 
 ★ 高考历年真题 ★ 
 ★ 高考历年真题 ★ 
 ★ 高考题库 ★ 
 ★ 高考题库 ★ 

电脑版  |  手机版  |  返回顶部