时间:2017-03-05 16:32:56
1、选择题 A、B两小球在光滑水平面上沿一直线发生正碰,作用前A的动量为10kg.m/s,B处于静止状态。碰撞后,A球动量为-10 kg.m/s,则作用后B球的动量为(? )
A.20 kg·m/s? B.10 kg·m/s
C.-20 kg·m/s? D.-30 kg·m/s
参考答案:A
本题解析:
本题难度:简单
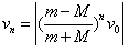
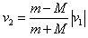
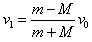
2、计算题 如图所示,小球A以速率
向右运动时跟静止的小球B发生碰撞,碰后A球以
的速率弹回,而B球以
的速率向右运动,求A、B两球的质量之比。 
参考答案:解:对碰撞过程中,A、B组成的系统,由于所受的合外力为零,所以系统的动量守恒,规定向右为正方向,则
碰前系统的动量为:
碰后系统的动量为:
根据动量守恒定律有:
故有:
本题解析:
本题难度:一般
3、简答题 质量为m1="10" g的小球,在光滑水平桌面上以v1="30" m/s的速率向右运动,恰好遇上质量为m2="50" g,速度v2="10" m/s向左运动的另一小球并发生正碰,如图16-4-5所示,碰撞后小球m2恰好停止运动,求碰撞后小球m1的速度是多大?
图16-4-5
参考答案:20 m/s
本题解析:设v1的方向为正方向,则碰撞前m1的速度v1="30" m/s,m2的速度v2="-10" m/s,碰撞后m2速度为v2′=0,由动量守恒定律有m1v1+m2v2=m1v1′+m2v2′
v1′=
m/s="-20" m/s
其中负号表示速度方向与方向相反,即向左.
本题难度:简单
4、其他 (1)以下有关近代物理内容的若干叙述中,正确的是
[? ]
A、一束光照射到某金属表面时,能发生光电效应,此时若减弱照射光的强度,则很有可能不能发生光电效应
B、物质波既是一种电磁波,又是一种概率波
C、氢原子的核外电子由较高能级跃迁到较低能级时,要释放一定频率的光子,同时电子的动能增加,电势能减小
D、在核聚变反应中,由于要释放能量,发生质量亏损,所以聚变后的原子的总质量数要减少
(2)第一代核反应堆以铀235为裂变燃料,而在天然铀中占99%的铀238不能被利用,为了解决这个问题,科学家们研究出快中子增殖反应堆,使铀238变成高效核燃料。在反应堆中,使用的核燃料是钚239,裂变时释放出快中子,周围的铀238吸收快吕子后变成铀239,铀239(
)很不稳定,经过_______________次β衰变后变成钚239(
),写出该过程的核反应方程式:______________________________。
(3)如图所示,位于光滑水平桌面上的小滑块P和Q都可视为质点,质量分别为m和3m。Q与轻弹簧相连,若Q静止,P以某一速度v向Q运动,并与弹簧发生碰撞。求P、Q速度相等时两者的速度是多大?此时弹簧弹性势能多大? 
参考答案:(1)C
(2)两次,
(3)由动量守恒:
得:v1=v/4
则
本题解析:
本题难度:一般
5、计算题 近年来,国际热核聚变实验堆计划取得了重大进展,它利用的核反应方程是12H+13H→24He+01n。若12H和13H迎面碰撞,初速度大小分别为v1、v2。12H、13H、24He、01n的质量分别为m1、m2、m3、m4,反应后24He的速度大小为v3,方向与12H的运动方向相同。求中子01n的速度(选取12H的运动方向为正方向,不计释放的光子的动量,不考虑相对论效应)。
参考答案:解:设中子的速度为v,由动量守恒定律有m1v1-m2v2=m3v3+m4v
解得v=
本题解析:
本题难度:一般