时间:2017-03-05 16:32:56
1、选择题 质量为M的物块以速度v运动,与质量为m的静止物块发生正碰,碰撞后两者的动量正好相等。两者质量之比M/m可能为
[? ]
A. 2
B. 3
C. 4
D. 5
2、计算题 如图所示,在光滑的绝缘水平桌面上,有直径相同的两个金属小球a和b,质量分别为ma=2m,mb=m,b球带正电荷2q,静止在磁感应强度为B的匀强磁场中,不带电小球a以速度v0进入磁场,与b球发生正碰,若碰后b球对桌面压力恰好为0,求a球对桌面的压力是多大。
3、计算题 某同学用一个光滑的半圆形轨道和若干个大小相等、可视为质点的小球做了三个有趣的实验,轨道固定在竖直平面内,且两端同高。第一次,他将一个小球从离轨道最低点的竖直高度h处由静止沿轨道下滑(h远小于轨道半径),用秒表测得小球在轨道底部做往复运动的周期为T;第二次,他将小球A放在轨道的最低点,使另一个小球B从轨道最高点由静止沿轨道滑下并与底部的小球碰撞,结果小球B返回到原来高度的1/4,小球A也上滑到同样的高度;第三次,用三个质量之比为m1:m2:m3=5:3:2的小球做实验,如图所示,先将球m2和m3放在轨道的最低点,球m1从某一高度由静止沿轨道下滑,它们碰后上升的最大高度分别为h1、h2和h3,不考虑之后的碰撞。设实验中小球间的碰撞均无能量损失。重力加速度为g。求:
(1)半圆形轨道的半径R;
(2)第二次实验中两小球的质量之比mA:mB;
(3)第三次实验中三个小球上升的最大高度之比h1:h2:h3。
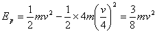
4、选择题 在光滑水平地面上有两个相同的弹性小球A、B,质量都为m。现B球静止,A球向B球运动, 发生正碰。已知碰撞过程中总机械能守恒,两球压缩最紧时的弹性势能为EP,则碰前A球的速度等于
[? ]
A、
B、
C、2
D、2
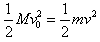
5、计算题 (选修3-5选做题)
质量为m的钢板与直立轻弹簧的上端连接,弹簧下端固定在地面上,钢板处于平衡状态。一质量也为m的物块甲从钢板正上方距离为h的A处自由落下,打在钢板上并立刻与钢板一起向下运动,但不粘连,它们一起向下运动x0后到达最低点B;若物块乙质量为2m,仍从A处自由落下,则物块乙与钢板一起向下运动到B点时,仍具有向下的速度,求此时速度的大小vB(已知重力加速度为g)。