时间:2017-03-02 10:41:12
1、选择题  如图9所示,光滑的“∏”形金属导体框竖直放置,质量为m的金属棒MN与框架接触良好.磁感应强度分别为B1、B2的有界匀强磁场方向相反,但均垂直于框架平面,分别处在abcd和cdef区域.现从图示位置由静止释放金属棒MN,当金属棒进入磁场B1区域后,恰好做匀速运动.以下说法中正确的有(  )
A.若B2=B1,金属棒进入B2区域后将加速下滑
B.若B2=B1,金属棒进入B2区域后仍将保持匀速下滑
C.若B2<B1,金属棒进入B2区域后可能先加速后匀速下滑
D.若B2>B1,金属棒进入B2区域后可能先减速后匀速下滑
参考答案:BCD
本题解析:若B2=B1,金属棒进入B2区域后,磁场反向,回路电流反向,由左手定则知:安培力并没有反向,大小也没有变,故金属棒进入B2区域后,mg- =0,仍将保持匀速下滑,B对;若B2<B1,金属棒进入B2区域后,安培力没有反向但大小变小,由F=BIL=B
=0,仍将保持匀速下滑,B对;若B2<B1,金属棒进入B2区域后,安培力没有反向但大小变小,由F=BIL=B L=
L= 知,mg-
知,mg- >0,金属棒进入B2区域后可能先加速后匀速下滑,故C也对;同理,若B2>B1,金属棒进入B2区域后mg-
>0,金属棒进入B2区域后可能先加速后匀速下滑,故C也对;同理,若B2>B1,金属棒进入B2区域后mg- <0,可能先减速后匀速下滑,故D也对.
<0,可能先减速后匀速下滑,故D也对.
本题难度:简单
2、计算题  如图所示,两平行的、间距为d的光滑金属导轨b1b2b3b4、c1c2c3c4分别固定在竖直平面内,整个导轨平滑连接,b2b3、c2c3位于同一水平面(规定该水平面的重力势能为零),其间有一边界为b2b3c3c2、方向竖直向上的匀强磁场,磁感应强度大小为B,导轨两端均连有电阻为R的白炽灯泡。一长为d的金属杆PN与两导轨接触良好,其质量为m、电阻为 。若金属杆从导轨左侧某一位置开始以初速度v0滑下,通过磁场区域后,再沿导轨右侧上滑至其初始位置高度一半时速度恰为零,此后金属杆做往复运动。金属杆第一次通过磁场区域的过程中,每个灯泡产生的热量为Q,重力加速度为g,除金属杆和灯泡外其余部分的电阻不计。求:
。若金属杆从导轨左侧某一位置开始以初速度v0滑下,通过磁场区域后,再沿导轨右侧上滑至其初始位置高度一半时速度恰为零,此后金属杆做往复运动。金属杆第一次通过磁场区域的过程中,每个灯泡产生的热量为Q,重力加速度为g,除金属杆和灯泡外其余部分的电阻不计。求:
(1)金属杆第一次通过磁场区域的过程中损失的机械能;
(2)金属杆初始位置的高度;
(3)金属杆第一次刚进入磁场区域时加速度的大小。
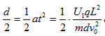
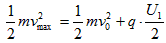
参考答案:(1) (2)
(2) (3)
(3)
本题解析:(1)设金属杆第一次通过磁场区域的过程损失的机械能为
灯泡的并联电阻为 ? ①
? ①
回路的总电阻 ? ②
? ②
由焦耳定律得: ? ③
? ③
由①②③得 ? ④
? ④
(2)设金属杆开始下滑时的高度为h?
全程由能量转化和守恒定律有: ? ⑤
? ⑤
得: ? ⑥
? ⑥
(3)设金属杆第一次刚进入磁场区域时速度是v1 ,加速度为a,
金属杆刚进入磁场区域时产生的电动势为 ? ⑦
? ⑦
回路电流 ? ⑧
? ⑧
金属杆受到的安培力为 ? ⑨
? ⑨
由牛顿第二定律有: ? ⑩
? ⑩
由机械能守恒定律有: ? ⑾
? ⑾
联立②⑥⑦⑧⑨⑩⑾得 ? ⑿
? ⑿
本题难度:一般
3、简答题  如图所示,坐标系xoy位于竖直平面内,所在空间有沿水平方向垂直于纸面向里的匀强磁场,磁感应强度大小为B,在x<0的空间内还有沿x轴负方向的匀强电场,场强大小为E。一个带正电的油滴经图中x轴上的M点,沿着直线MP做匀速运动,过P点后油滴进入x>0的区域,图中 。要使油滴在x>0的区域内做匀速圆周运动,需在该区域内加一个匀强电场。若带电油滴做匀速圆周运动时沿
。要使油滴在x>0的区域内做匀速圆周运动,需在该区域内加一个匀强电场。若带电油滴做匀速圆周运动时沿 弧垂直于x轴通过了轴上的N点,求:
弧垂直于x轴通过了轴上的N点,求:
(1)油滴运动速率的大小;
(2)在x>0的区域内所加电场的场强大小和方向;
(3)油滴从x轴上的M点经P点运动到N点所用的时间。
参考答案:(1)? ?(2)
?(2) ?(3)
?(3)
本题解析:(1)如图所示,
油滴受三力作用沿直线匀速运动,由平衡条件有 ?①?(2分)
?①?(2分) ?②?(2分)
?②?(2分)
由①式解得 ?③?(1分)
?③?(1分)
(2)在x>0的区域,油滴要做匀速圆周运动,其所受的电场力必与重力平衡,由于油滴带正电,所以场强方向竖直向上。?(1分)
若设该电场的场强为 ,则有
,则有 ?④?(1分)
?④?(1分)
由②、④式联立解得 ?(1分)
?(1分)
(3)如图所示,弧PN为油滴做圆周运动在x>0,y<0区域内的圆弧轨迹。过P点作垂直于MP的直线,交x轴于 点,则
点,则 点一定是圆心,且∠
点一定是圆心,且∠ ?(2分)
?(2分)
设油滴从M点到P点和从P点到N点经历的时间分别为
做匀速圆周运动时有 ?⑤?(2分)
?⑤?(2分)
由②、③、⑤式解得 ?⑥?(1分)
?⑥?(1分)
所以 ?⑦?(2分)
?⑦?(2分) ?⑧?(2分)
?⑧?(2分)
全过程经历的时间为 ?(1分)
?(1分)
本题难度:一般
4、计算题  如图所示,带正电的粒子以水平速度v0从平行金属板MN间中线 连续射入,MN板间接有如图乙所示的随时间变化的电压
连续射入,MN板间接有如图乙所示的随时间变化的电压 ,令电场只存在两板间,紧邻金属板右侧有垂直纸面向里的匀强磁场B,CD为分界线、EF为屏幕,已知金属板间距、磁场宽度、极板长均为0.2m,每个带正电粒子速度
,令电场只存在两板间,紧邻金属板右侧有垂直纸面向里的匀强磁场B,CD为分界线、EF为屏幕,已知金属板间距、磁场宽度、极板长均为0.2m,每个带正电粒子速度 ,比荷为
,比荷为 ,粒子重力不计,在每个粒子通过电场区域的极短时间内,可认为电场是恒定不变的,求:
,粒子重力不计,在每个粒子通过电场区域的极短时间内,可认为电场是恒定不变的,求:
(1)带电粒子进入磁场做圆周运动的最小半径;
(2)带电粒子射出电场的最大速度;
(3)带电粒子打在屏幕EF上的范围。 

参考答案:
解:(1)t=0时射入电场的带电粒子不被加速,进入磁场中做圆周运动的半径最小,
由洛仑兹力提供向心力得
代入数值得 。其运动轨迹恰好与EF相切,如图中I所示。
。其运动轨迹恰好与EF相切,如图中I所示。 
(2)设两板间电压为 ,带电粒子刚好从极板边缘射出电场,则有
,带电粒子刚好从极板边缘射出电场,则有 ,
,
代入数值得 ,
, 
在电压低于100V时,带电粒子能从两板间射出电场,电压高于100V时,
带电粒子打在极板上,不能从两板间射出,带电粒子刚好从极板边缘射出电场时,速度最大,
则有 ,
,
所以求得 。
。 
(3)由(1)知粒子打在屏幕上的最高点到 点距离为0.2m,由(2)知粒子射出电场速度最大时,打在屏幕上的位置最低,其运动轨迹如图II所示,
点距离为0.2m,由(2)知粒子射出电场速度最大时,打在屏幕上的位置最低,其运动轨迹如图II所示,
由 可得:
可得: ,
,
由数学知识可得: ,
,
所以带电粒子打在屏幕EF上的范围为离屏幕中心上0.2m、下0.18m。 
本题解析:
本题难度:困难
5、计算题  (15分)如图所示,在直角坐标系xoy的第一、四象限区域内存在两个有界的匀强磁场:垂直纸面向外的匀强磁场Ⅰ、垂直纸面向里的匀强磁场Ⅱ,O、M、P、Q为磁场边界和x轴的交点,OM=MP=L.在第三象限存在沿y轴正向的匀强电场. 一质量为 带电量为
带电量为 的带电粒子从电场中坐标为(-2L,-L)的点以速度v0沿+x方向射出,恰好经过原点O处射入区域Ⅰ又从M点射出区域Ⅰ(粒子的重力忽略不计)
的带电粒子从电场中坐标为(-2L,-L)的点以速度v0沿+x方向射出,恰好经过原点O处射入区域Ⅰ又从M点射出区域Ⅰ(粒子的重力忽略不计)
(1)求第三象限匀强电场场强E的大小;
(2)求区域Ⅰ内匀强磁场磁感应强度B的大小;
(3)如带电粒子能再次回到原点O,问区域Ⅱ内磁场的宽度至少为多少?粒子两次经过原点O的时间间隔为多少?
参考答案:(1)? (2)?
(2)? (3)
(3)
本题解析:(1)带电粒子在匀强电场中做类平抛运动:粒子沿x轴正方向的位移:? ?①?
?①?
粒子沿电场方向的位移:? ?②
?②
联立①②式得:? ?③
?③
(2)设到原点时带电粒子的竖直分速度为 :
: ?把③式代入得:
?把③式代入得:

则合速度: ?方向与
?方向与 轴正向成
轴正向成 角 ?(1分)
角 ?(1分)
粒子进入区域Ⅰ做匀速圆周运动,由几何知识可得: ?(1分)
?(1分)
由洛伦兹力充当向心力: ?(1分),
?(1分),
可解得: ?(1分)
?(1分)
(3)运动轨迹如图,在区域Ⅱ做匀速圆周的半径为: ?(1分)
?(1分)
 ? (1分)?
? (1分)?
运动时间: ?(1分),
?(1分), ?(1分),
?(1分), ?(1分)
?(1分) ?(1分)
?(1分)
本题难度:一般