时间:2022-12-15 06:15:05
1、计算题 (20 分)如图甲所示,偏转电场的两个平行极板水平放置,板长L=0.08m,板间距足够大,两板的右侧有水平宽度l=0.06m、竖直宽度足够大的有界匀强磁场。一个比荷为
的带负电粒子以速度v0=8×105m/s从两板中间沿与板平行的方向射入偏转电场,若从该粒子进入偏转电场时开始计时,板间场强恰好按图乙所示的规律变化,粒子离开偏转电场后进入匀强磁场并最终垂直磁场右边界射出。不计粒子重力,
求:(1)粒子在磁场中运动的速率v;
(2)粒子在磁场中运动的轨道半径R和磁场的磁感应强度B;
(3)粒子从进入偏转电场到离开磁场所用的时间。
参考答案:(1)
?(2)
?
?(3)
本题解析:(1)根据题意,电子在偏转电场中的运动时间:
? ……? (2分)
对比乙图可知,电子在极板间运动的时间是偏转电场的一个周期。?
在第一个
时间内,电子在垂直于极板方向上做初速为0的匀加速直线运动,有:
? ……? (1分)?
? ……? (1分)
在第二个
时间内,电子做匀速直线运动,带电粒子进入磁场时的速度为:
? ……? (2分)
联解①③④⑤得:
……? (1分)
(2)作出电子在磁场中的轨迹如图所示;
设带电粒子在磁场中做匀速圆周运动的半径为R,由几何关系有:
? ……? (2分)
粒子在磁场中做匀速圆周运动,由牛顿第二定律有:
? ……? (1分)
联解⑦⑧得:
? ……? (1分)
? ……? (1分)
(3)粒子在磁场中运动转过的圆心角
……? (2分)
?……? (1分)
粒子在磁场中运动的时间
……? (2分)
s……? (1分)
粒子运动的总时间为?
……? (2分)
本题难度:一般
2、选择题 如图所示,质量为m、带电荷量q的小球从P点静止释放,下落一段距离后进入正交的匀强电场和匀强磁场,电场方向水平向左,磁场方向垂直纸面向里,则小球在通过正交的电场和磁场区域时的运动情况是( )
A.一定做曲线运动
B.轨迹一定是抛物线
C.可能做匀速直线运动
D.可能做匀加速直线运动
参考答案:A、小球进入两个极板之间时,受到向下的重力,水平向右的电场力和水平向左的洛伦兹力,若电场力与洛伦兹力受力平衡,由于重力的作用,小球向下加速,速度变大,洛伦兹力变大,洛伦兹力不会一直与电场力平衡,故合力一定会与速度不共线,故小球一定做曲线运动,速度影响洛伦兹力变化,导致小球合力变化,则不可能做类平抛运动;故A正确,B错误;
C、在下落过程中,重力与电场力不变,但洛伦兹力变化,导致合力也变化,则做变加速曲线运动.故CD均错误;
故选:A.
本题解析:
本题难度:一般
3、选择题 如图所示,空间的某一区域存在着相互垂直的匀强电场和匀强磁场,一个带电粒子以某一初速度由A点进入这个区域并沿直线运动,最后从C点离开该区域;如果将磁场撤去,其他条件不变,则粒子从B点离开场区;如果将电场撤去,其他条件不变,则粒子从D点离开场区.已知BC=CD,设粒子在上述三种情况下,从A到B、从A到C和从A到D所用的时间分别是t1、t2和t3,离开三点时的动能分别是Ek1、Ek2、Ek3,粒子重力忽略不计,以下关系正确的是( )
A.t1=t2<t3
B.t1<t2=t3
C.Ek1>Ek2=Ek3
D.Ek1=Ek2<Ek3
参考答案:A、当电场、磁场同时存在时,粒子做匀速直线运动,此时qE=qvB,当只有电场时,粒子从B点射出,做类平抛运动,由运动的合成与分解可知,水平方向做匀速直线运动,所以t1=t2;
当只有磁场时,粒子在洛伦兹力作用下做匀速圆周运动,速度大小不变,但路程变长,有t2<t3,因此A选项正确,B错误;
C、粒子从B点射出时,电场力做功,动能变大,故C选项正确,D错误.
故选AC
本题解析:
本题难度:一般
4、选择题 如图所示,虚线MN下方存在互相垂直的匀强电场和匀强磁场,电场强度为E,磁感应强度为B。一带电微粒从离MN为h的高处由静止下落,从P点进入场区后做匀速圆周运动,经半个圆周后从Q点射出。已知重力加速度为g,则微粒从P到Q的过程中
[? ]
A.所受电场力方向一定竖直向上
B.做匀速圆周运动的半径为
C.电势能先增大后减小
D.电势能与重力势能之和先减小后增大
参考答案:ABC
本题解析:
本题难度:一般
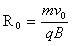
5、计算题 如图,空间存在匀强电场和匀强磁场,电场方向为y轴正方向,磁场方向垂直于xy平面(纸面)向外,电场和磁场都可以随意加上或撤除,重新加上的电场或磁场与撤除前的一样。一带正电荷的粒子从P(x=0,y=h)点以一定的速度平行于x轴正方向入射。这时若只有磁场,粒子将做半径为R0的圆周运动;若同时存在电场和磁场,粒子恰好做直线运动。现在,只加电场,当粒子从P点运动到x=R0平面(图中虚线所示)时,立即撤除电场同时加上磁场,粒子继续运动,其轨迹与x轴交于M点,不计重力。已知h=6cm,R0=10cm,求:
(1)粒子到达x=R0平面时速度方向与x轴的夹角以及粒子到x轴的距离;
(2)M点的横坐标xM。 
参考答案:解:(1)做直线运动有:
①
做圆周运动有:
②
只有电场时,粒子做类平抛运动,有:
③
?④
?⑤
从③④⑤解得
⑥,从①得E=Bv0 ⑦,从②式得
⑧,将⑦、⑧代入⑥得:
粒子速度大小为:
速度方向与x轴夹角为:
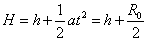
粒子与x轴的距离为:
代入数据得H=11cm
(2)撤电场加上磁场后,有:
解得:
,代入数据得
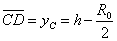
粒子运动轨迹如图所示,圆心C位于与速度v方向垂直的直线上,该直线与x轴和y轴的夹角均为π/4
由几何关系得C点坐标为:
,代入数据得
,代入数据得
过C作x轴的垂线,在ΔCDM中:
,
解得:
M点横坐标为:
代入数据得
本题解析:
本题难度:困难