时间:2022-12-15 06:12:21
1、选择题 一个电子(质量为m、电荷量为-e)和一个正电子(质量为 m、电荷量为e)以相等的初动能Ek相向运动,并撞到一起,发生“湮灭”,产生两个频率相同的光子,设产生光子的频率为v。若这两个光子的能量都为hv,动量分别为p和p",下面关系中正确的是
[? ]
A.hv=mc2,p=p"
B.
,p=p"
C.hv=mc2+Ek ,p= -p"
D.
,p=-p"
参考答案:C
本题解析:
本题难度:一般
2、计算题 一个物体静置于光滑水平面上,外面扣一质量为M的盒子,如图甲所示。现给盒子一初速度v0,此后,盒子运动的v-t图像呈周期性变化,如图乙所示。请据此求盒内物体的质量。

参考答案:解:设物体的质量为m,t0时刻受盒子碰撞获得速度v,根据动量守恒定律Mv0=mv ①
3t0时刻物体与盒子右壁碰撞使盒子速度又变为v0,说明碰撞是弹性碰撞,
②
联立①②解得m=M ③
本题解析:
本题难度:一般
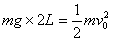
3、计算题 如图所示,竖直放置的圆弧轨道和水平轨道两部分相连。水平轨道的右侧有一质量为2m的滑块C与轻质弹簧的一端相连,弹簧的另一端固定在竖直的墙M上,弹簧处于原长时,滑块C静止在P点处;在水平轨道上方O处,用长为L的细线悬挂一质量为m的小球B,B球恰好与水平轨道相切,并可绕O点在竖直平面内摆动,质量为m的滑块A由圆弧轨道上静止释放,进入水平轨道与小球B发生弹性碰撞。P点左方的轨道光滑、右方粗糙,滑块A、C与PM段的动摩擦因数均为μ=0.5,A、B、C均可视为质点,重力加速度为g。则:
(1)求滑块A从2L高度处由静止开始下滑,与B碰后瞬间B的速度;
(2)若滑块A能以与球B碰前瞬间相同的速度与滑块C相碰,A至少要从距水平轨道多高的地方开始释放?
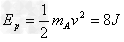
(3)在(2)中算出的最小值高度处由静止释放A,经一段时间A与C相碰,设碰撞时间极短,碰后一起压缩弹簧,弹簧最大压缩量为
,求弹簧的最大弹性势能。
参考答案:解:(1)对A,由机械能守恒得
解得
A与B碰:mv0=mvA+mvB
解得
(2)要使滑块A能以与B碰前瞬间相同的速度与C碰撞,必须使小球B受A撞击后在竖直平面内完成一个完整的圆周运动后从左方撞击A,使A继续向右运动
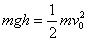
设A从距水平面高为h的地方释放,与B碰前的速度为v0
对A,由机械能守恒得:
设小球B通过最高点的速度为vB,则它通过最高点的条件是:
小球B从最低点到最高点的过程机械能守恒:
解得
(3)从这个高度下滑的A与C碰撞前瞬间速度:v0
设A与C碰后瞬间的共同速度为v,由动量守恒:mv0=(m+2m)v
A、C一起压缩弹簧,由能量守恒定律,有:
解得
本题解析:
本题难度:困难
4、选择题 不定项选择
两球相向运动,发生正碰,碰撞后两球均静止,于是可以断定,在碰撞以前( ? )
A.两球的质量相等
B.两球的速度大小相同
C.两球的动量大小相等
D.以上都不能断定
参考答案:C
本题解析:
本题难度:简单
5、计算题 (选修3-5选做题)
如图1所示,物体A的质量是4 kg,轻弹簧一端连接A,另一端固定在竖直墙壁上,水平面光滑。物体B水平向左运动,在t=5 s时与物体A相碰,并立即与A有相同的速度,一起向左运动,物块B的速度一时间图象如图2所示。?
(1)求物块B的质量;?
(2)求15 s以后弹簧具有的最大弹性势能。
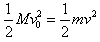
参考答案:解:(1)由图象可得:物体B以速度v0=6 m/s与A相碰,立即有相同的速度v=2 m/s,A、B相互作用时间很短,水平方向动量守恒,有:mBv0=(mA+mB)v
解得:mB=2 kg
(2)15 s以后,物块B和A分离,分离时A的速度为v=2 m/s
由机械能守恒定律有,弹簧最大弹性势能为
本题解析:
本题难度:一般