时间:2020-08-15 23:38:32
1、选择题 甲、乙两个物体都做匀速圆周运动.转动半径比为3:4,在相同的时间里甲转过60圈时,乙转过45圈,则它们所受的向心加速度之比为( )
A.3:4
B.4;3
C.4:9
D.9:16
参考答案:B
本题解析:
本题难度:简单
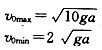
2、计算题 如图所示,质量为m的小球,用轻软绳系在边长为a的正方形截面木柱的边A处(木柱水平放置,图中画斜线部分为其竖直横截面),软绳长4a质量不计,它所承受的最大拉力为7mg,开始绳呈水平状态。若以竖直向下的初速度抛出小球,为使绳能绕在木柱上,且小球始终沿圆弧运动,最后击中A点,求抛出小球初速度的最大值和最小值(空气阻力不计,过程中无能量损失)。 
参考答案:解:小球依次绕A、B、C、D各点做半径不同的圆周运动,其速率大小
可由能量关系确定,小球运动到如图所示的各位置处时的速率分别记为vi,小球刚要到达和刚要离开如图所示的各位置处时线中张力大小分别记为Ti和T"i,
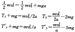
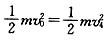
于是由相关规律依次可得从A到B的过程有
?


从B到C的过程有
?
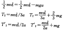
从C到D的过程有
?
从D到A的过程有
?
考虑到各个Ti和T"i均不应小于零,于是可知各状态下绳的拉力中T"1,最大,T3最小,
由此可得:当初速度取得最大和最小值时应有 T"1=7mg,T3=0
因此解得初速度的最大值和最小值分别为
本题解析:
本题难度:困难
3、选择题 粗糙水平面内有一个圆柱形杯子,其外表面粗糙内表面光滑.杯子内有一小球在杯底做匀速圆周运动,且杯子始终保持静止,则( )
A.小球在运动的过程中受4个力作用
B.杯子所受合力等于小球做圆周运动的向心力
C.杯子所受摩擦力与小球的向心力始终同向
D.杯子所受摩擦力与小球的向心力大小相等,方向相反
参考答案:A、小球在杯底做匀速圆周运动受到重力、杯底的支持力和杯子侧面的弹力三个力作用.故A错误.
B、小球做匀速圆周运动所需要的向心力等于杯子侧面的弹力,杯子处于静止状态,合力为零.故B错误.
C、D对于杯子而言,根据平衡条件得知:小球对杯子的弹力与杯子所受的摩擦力大小相等、方向相反,根据牛顿第三定律得知:小球对杯子的弹力与杯子对小球的弹力方向相反,故知杯子所受摩擦力与小球的向心力始终大小相等、方向相同.故C正确,D错误.
故选C
本题解析:
本题难度:简单
4、选择题 如图所示,Q为具有水平转动轴的圆柱体,在它的A点放一个质量为m的小物体P,当Q绕轴缓慢匀速转动时,带动P从A点转到B点,这过程中P与Q始终保持相对静止,那么P所受的摩擦力F大小随时间的变化关系可能是图中的( )
A.
B.
C.
D.

参考答案:物块P受三个力的作用,竖直向下的重力G,沿半径指向外的支持力FN,沿切线方向的静摩擦力Ff,因圆柱体缓慢移动,所以物块P在任意位置所受合力为零,对三力正交分解,设重力G与支持力FN方向所夹锐角为θ,
则Ff=mgsin?θ,从A转至A′的过程中,θ先减小后增大,Ff先减小后增大,且按照正弦规律变化,故A正确.
故选A.
本题解析:
本题难度:一般
5、选择题 如图所示为摩托车比赛转弯时的情形,若转弯路面是水平的,下列说法正确的是( )
A.水平路面对车身弹力的方向沿车身方向斜向上
B.水平路面对车身弹力的方向垂直于水平路面竖直向上
C.水平路面对车轮的静摩擦力和斜向上的弹力的合力充当向心力
D.仅由水平路面对车轮的静摩擦力充当向心力
参考答案:A、水平路面对车身的弹力方向垂直于路面竖直向上.故A错误,B正确.
? C、摩托车做圆周运动靠水平路面对车轮的静摩擦力提供向心力.故C错误,D正确.
故选BD.
本题解析:
本题难度:一般