时间:2020-08-15 22:51:12
1、选择题 物体做匀加速直线运动,加速度为2m/s2,那么在任意1s?内( )
A.物体的末速度一定等于初速度的2倍
B.物体的末速度一定比初速度大2?m/s
C.物体这一秒的初速度一定比前一秒的末速度大2?m/s
D.物体这一秒的末速度一定比前一秒的初速度大2?m/s
参考答案:B
本题解析:
本题难度:一般
2、选择题 物体从斜面顶端由静止开始匀加速下滑,经过0.8s到达斜面的中点。那么,它从斜面顶端到底端一共滑行多少时间
A.0.8
s
B.1.6s
C.0.4
s
D.2.0s
参考答案:A
本题解析:略
本题难度:简单
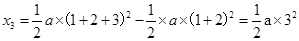
3、选择题 一个从静止开始做匀加速直线运动的物体,从开始运动起,连续通过三段位移的时间分别是1 s、2 s、3 s,这三段位移的长度之比和这三段位移上的平均速度之比分别是( )
A.
B.
C.
D.
参考答案:B
本题解析:根据
可得
物体通过的第一段位移为
又前3s的位移减去前1s的位移就等于第二段的位移
故物体通过的第二段位移为
又前6s的位移减去前3s的位移就等于第三段的位移
故物体通过的第三段位移为
故
在第一段位移的平均速度
在第二段位移的平均速度
在第三段位移的平均速度
故
故选B.
点评:本题求解第二段和第三段位移的方法十分重要,要注意学习和积累,并能灵活应用.
本题难度:一般
4、简答题 (1)图1给出的螺旋测微器的示数为______mm,游标卡尺的示数为______cm
(2)一个实验小组在“探究弹力和弹簧伸长的关系”的实验中 ,使用两条不同的轻质弹簧a和b,得到弹力F与弹簧长度L的图象,如图3所示.下列表述正确的是______
A.a的原长比b的长?B.a的劲度系数比b的大
C.a的劲度系数比b的小?D.测得的弹力与弹簧的长度成正比.
参考答案:(1)螺旋测微器的固定刻度读数为1.5mm,可动刻度读数为0.01×23.2mm=0.232mm,所以最终读数为1.732mm.
? 游标卡尺的固定刻度读数为29mm,游标读数为0.1×8mm=0.8mm,所以最终读数29.8mm=2.98cm.
(2)A、在图象中横截距表示弹簧的原长,故b的原长比a的长,故A错误
? B、在图象中斜率表示弹簧的劲度系数k,故a的劲度系数比b的,故B正确
? C、同理C错误
? D、弹簧的弹力满足胡克定律,弹力与弹簧的形变量成正比,故D错误
故选B
故答案为:(1)1.732、2.98?(2)B
本题解析:
本题难度:一般
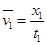
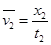
5、简答题 如图所示,两条互相平行的光滑金属导轨位于水平面内,距离为l=0.2米,在导轨的一端接有阻值为R=0.5欧的电阻,在X≥0处有一与水平面垂直的均匀磁场,磁感强度B=0.5特斯拉.一质量为m=o.1千克的金属直杆垂直放置在导轨上,并以v0=2米/秒的初速度进入磁场,在安培力和一垂直于杆的水平外力F的共同作用下作匀变速直线运动,加速度大小为a=2米/秒2、方向与初速度方向相反.设导轨和金属杆的电阻都可以忽略,且接触良好.求:
(1)电流为零时金属杆所处的位置;
(2)电流为最大值的一半时施加在金属杆上外力F的大小和方向;
(3)保持其他条件不变,而初速度v0取不同值,求开始时F的方向与初速度v0取值的关系.
参考答案:(1)感应电动势E=Blv,I=ER∴I=0时?v=0
? 所以x=v022a=1m?
(2)最大电流?Im=BLv0R
I′=Im2=BLv02R
安培力FA=BI′L=B2L2v02R=0.02N?
向右运动时?F+FA=ma
F=ma-FA=0.18N? 方向与x轴相反?
向左运动时F-FA=ma
F=ma+FA=0.22N? 方向与x轴相反?
(3)开始时?v=v0,FA=BImL=B2L2v0R
F+FA=ma,F=ma-FA=ma-B2L2v0R?
∴当v0<maRB2L2=10m/s?时,F>0?方向与x轴相反?
? 当v0>maRB2L2=10m/s?时,F<0?方向与x轴相同.
本题解析:
本题难度:一般