时间:2019-12-13 02:21:52
1、选择题 汽车的位移随时间变化的函数关系式为?x=10t-2t2,x与t的单位分别为m和s,则汽车经多长时间速度为零( )
A.1s
B.1.5s
C.2s
D.2.5s
参考答案:由x=v0t+12at2=10t-2t2,得知初速度v0=10m/s,加速度a=-4m/s2.则汽车速度减小到零所需的时间t0=0-v0a=0-10-4s=2.5s.
故选D
本题解析:
本题难度:简单
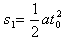
2、选择题 某物体沿直线运动,其v-t图象如图所示,则下列说法正确的是( )
A.2-5s内物体静止
B.0-2s内物体加速度为5m/s2
C.第1s内和第6s内的加速度方向相反
D.第6s末物体回到原出发点
参考答案:A、图象是速度与时间的图象,2-5s内图象是水平的直线说明物体是在做匀速直线运故B动,所以A错误.
B、斜率表示加速度,所以加速度为5m/s2,故选项B正确.
C、斜率表示加速度,直线的倾斜的方向表示加速度的方向,直线的倾斜的方向相反,说明加速度的方向相反,所以C正确.
D、第6s末图象组成的面积最大,说明位移最大,不是回到原出发点,所以D错误.
故选:B、C.
本题解析:
本题难度:一般
3、计算题 跳伞运动员从跳伞塔上跳下,当降落伞全部打开时,伞和运动员所受的空气阻力大小跟下落速度的平方成正比,即
,已知比例系数
。运动员和伞的总质量m=72kg,设跳伞塔足够高且运动员跳离塔后即打开伞,取
,求:
小题1:跳伞员的下落速度达到3m/s时,其加速度多大?
小题2:跳伞员最后下落速度多大?
参考答案:小题3:若跳伞塔高200m,则跳伞员从开始跳下到即将触地的过程中,损失了多少机械能?
小题1:7.5m/s2
小题2:6m/s
小题3:
本题解析:(1)由牛顿第二定律:
? (4分)
(2)跳伞员最后匀速运动:
? (4分)
损失机械能:
本题难度:简单
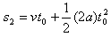
4、简答题 如图1所示,在表面粗糙、倾角为37°的斜面上,有一质量为m的物块,被平行于斜面的力F推着沿斜面向上运动,推力F与物块速度v随时间t变化的关系如图2所示.(g=10m/s2,sin37°=0.6).
求:
(1)物块的质量m;
(2)t=2s时物块与斜面间摩擦力的功率P.
参考答案:(1)0~4s内由图知a1=0.25m/s2
对物块:F1-mgsin37°-f=ma1
4~6s内由图知a2=0.5m/s2
对物块:mgsin37°+f-F2=ma2
故m=10kg
(2)t=2s时v=0.5m/s
又F1-mgsin37°-f=ma1,
f=40N
∴P=f?v=20W
答:(1)物块的质量m为10kg;
(2)t=2s时物块与斜面间摩擦力的功率P为20W.
本题解析:
本题难度:一般
5、选择题 已知长为L的光滑斜面,物体从斜面顶端由静止开始以恒定的加速度下滑,当物体的速度是到达斜面底端速度的一半时,它沿斜面下滑的位移是(?)
A.
B.
C.
D.
参考答案:C
本题解析:本题是同一个匀加速直线运动中不同时刻的两段运动,可以直接设出加速度a和末速度v,那么末速度一半就为
,用两次位移速度公式,联立方程即可求出结果.
设物体沿斜面下滑的加速度为a,物体到达斜面底端时的速度为v,则有:
?①
?②?由①、②两式可得
。
故选C。
点评:本题是匀变速直线运动公式的直接运用.在物理解题过程中有一些不必求出结果,但解题过程中涉及到得物理量,可以直接设出来,通过联立方程解出所要求解的物理量.
本题难度:一般