时间:2019-12-13 02:21:52
1、选择题 一客车从静止出发匀加速直线离开车站,开出一段时间之后,司机发现一乘客未上车,便紧急刹车做匀减速运动.从启动到停止一共经历t=12s,前进了24 m,在此过程中,汽车的最大速度为
A.2 m/s
B.3 m/s
C.4 m/s
D.无法确定
2、选择题 如图所示的v-t图象中,表示物体做匀减速直线运动的是( )
A.
B.
C.
D.
3、计算题 如图所示,倾角θ为37°的粗糙斜面被固定在水平地面上,质量为 12.5kg的物块,在沿平行于斜面向上的拉力F作用下从斜面的底端由静止开始运动,力F作用2s后撤去,物体在斜面上继续上滑1.2s后,速度减为零,已知F=200 N。求:
小题1:物体与斜面间的动摩擦因数。
小题2:物体在斜面上能够通过的路程。(已知sin37°=0.6,cos37°=0.8,g=10 m/s2)
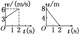
4、选择题 质量为2kg的质点在x-y平面上做曲线运动,在x方向的速度图象和y方向的位移图象如图所示,下列说法正确的是( )
A.质点的初速度为3m/s
B.质点作匀变速运动
C.质点所受的合外力为6N
D.质点初速度的方向与合外力方向垂直
5、填空题 小球从空中自由下落,与水平地面相碰后弹到空中某高度,其速度--时间图象如图所示,则由图可知(g=10m/s2)
(1)小球下落的最大速度为______
(2)第一次反弹初速度的大小为______
(3)小球下落的最大高度______
(4)小球能弹起的最大高度______.