时间:2019-06-26 04:38:27
1、简答题 如图所示,匀强电场分布在正方形ABCD区域内,场强方向平行于AB边,M、N分别为AB边和BC边的中点.一个具有初动能E0的带电粒子射入电场(沿纸面运动).如果带电粒子从M点垂直于电场方向进入电场后,恰好从C点离开电场,则带电粒子从C点离开电场时的动能为______;如果带电粒子以相同初动能从N点垂直于BC边方向射入电场,则它离开电场时的动能为______.(带电粒子重力不计)
参考答案:①从M点射入,粒子做类似平抛运动;
粒子在竖直方向上做匀加速直线运动,水平方向做匀速直线;
设正方向边长为L,水平分运动:L=vot;
竖直分运动:12L=vy2t;
故vy=v0;
合速度v=
本题解析:
本题难度:简单
2、选择题 下列属于预防静电危害的做法是
A.在高大的建筑物顶端安装避雷针
B.水泥厂利用静电除去废气中的粉尘
C.在制造轮胎的橡胶中添加导电材料
D.行驶中的油罐车尾带一条拖地的铁链
参考答案:ACD
本题解析:A、当打雷的时候,由于静电的感应,在高大的建筑物顶端积累了很多的静电,容易导致雷击事故,所以在高大的建筑物顶端安装避雷针可以把雷电引入地下,保护建筑物的安全,所以A正确.
B、水泥厂利用静电除去废气中的粉尘,这是对于静电的应用,所以B错误.
C、由于车的运动,轮胎和地面之间会产生静电,在制造轮胎的橡胶中添加导电材料可以及时的把产生的静电导走,所以C正确.
D、油罐车再运动的过程中,由于里面的油再晃动,也会摩擦产生静电,后面拖一条的铁链就可以以及时的把产生的静电导走,所以D正确.
故选ACD.
考点:本题考查了对静电危害的预防应用
点评:在打雷时,由于静电感应再楼顶会积累大量的电荷,会对建筑物造成危害,同样像运动的油罐车等物体由于不断的摩擦也会产生大量的静电,所以要及时的把产生的静电导走.
本题难度:困难
3、简答题 下列说法正确的是______
A.用欧姆表测电阻时,电流总从欧姆表红表笔(+)流出,经过待测电阻,从黑表笔(-)流回欧姆表
B.用欧姆表不同倍率的挡位测量同一电阻的阻值时,倍率越小,误差越小
C.用欧姆表测电阻时,指针接近刻度盘中央,误差较小
D.用欧姆表测电阻时,如果指针偏转角度很小,应换倍率较大的挡位.
参考答案:A、红表笔接正极插孔,而正极与内部电源的负极相连,故电流从黑表笔出,从红表笔进,A错误;
B、倍率选择的原则是使指针指在刻度盘的中间位置附近,误差较小,B错误;
C、用欧姆表测电阻时,指针接近刻度盘中央,误差较小,C错误;
D、如果指针偏转角度很小,说明所测电阻阻值较大,应换倍率较大的挡位,D正确.
故选CD
本题解析:
本题难度:一般
4、计算题 飞行时间质谱仪主要由脉冲阀、激光器、加速电场、偏转电场和探测器组成,可以对气体分子进行分析。如图所示,脉冲阀P喷出微量气体,经激光照射产生不同价位的离子,自a板小孔进入a、b间的加速电场,从b板小孔射出,沿中线方向进入M、N板间的偏转控制区,到达探测器。已知加速电场a、b板间距为d,偏转电场极板M、N的长度为L1,宽度为L2。不计离子重力及进入a板时的初速度。
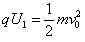
(1)设离子带电粒子比荷为k(k=q/m),如a、b间的加速电压为U1,试求离子进入偏转电场时的初速度v0;
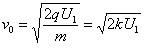
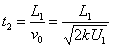
(2)当a、b间的电压为U1时,在M、N间加上适当的电压U2,离子从脉冲阀P喷出到到达探测器的全部飞行时间为t。请推导出离子k比荷的表达式;
(3)在某次测量中探测器始终无法观察到离子,分析原因是离子偏转量过大,打到极板上,请说明如何调节才能观察到离子? 
参考答案:解:(1)设离子的带电量为q,质量为m,有
得:
(2)设离子在加速电场和偏转电场中的飞行时间分别为t1和t2,在加速电场中的加速度为a1,则: 



联立解得:
(3)设离子在偏转电场中的侧移量为y,则
所以减小偏转电压U2,或增大加速电压U1 (只答出一种方案即给分)
本题解析:
本题难度:困难
5、选择题 在半导体离子注入工艺中,初速度可忽略的离子P+和P3+,经电压为U的电场加速后,垂直进入磁感应强度大小为B、方向垂直纸面向里,有一定的宽度的匀强磁场区域,如图所示.已知离子P+在磁场中转过θ=30°后从磁场右边界射出.在电场和磁场中运动时,离子P+和P3+( )
A.在内场中的加速度之比为1:1
B.在磁场中运动的半径之比为
:1
C.在磁场中转过的角度之比为1:2
D.离开电场区域时的动能之比为1:3
参考答案:BCD
本题解析:
本题难度:一般