时间:2019-05-21 04:15:55
1、计算题 为研究静电除尘,有人设计了一个盒状容器,容器侧面是绝缘的透明有机玻璃,它的上下底面是面积A=0.04m2的金属板,间距L=0.05m,当连接到U=2500V的高压电源正负两极时,能在两金属板间产生一个匀强电场,如图所示。现把一定量均匀分布的烟尘颗粒密闭在容器内,每立方米有烟尘颗粒1013个,假设这些颗粒都处于静止状态,每个颗粒带电量为q=+1.0×10-17 C,质量为m=2.0×10-15 kg,不考虑烟尘颗粒之间的相互作用和空气阻力,并忽略烟尘颗粒所受重力。求合上电键后:
(1)经过多长时间烟尘颗粒可以被全部吸附?
(2)除尘过程中电场对烟尘颗粒共做了多少功?
(3)经过多长时间容器中烟尘颗粒的总动能达到最大?

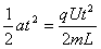
参考答案:解:(1)当最靠近上表面的烟尘颗粒被吸附到下板时,烟尘就被全部吸附,烟尘颗粒受到的电场力
F=qU/L
L=
∴t=
=0.02 (s)
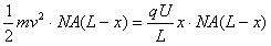
(2)W=
NALqU=2.5×10-4 (J)
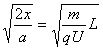
(3)设烟尘颗粒下落距离为x
Ek=
当x=
时,Ek达最大
x=
t1=
=0.014 (s)
本题解析:
本题难度:困难
2、选择题 下列粒子从初速度为零的状态经电压U的加速电场加速后,哪种粒子的速度最大(?)
A.质子
B.氚核
C.α粒子
D.钠离子Na+
参考答案:A
本题解析:带电粒子经过加速电场,根据动能定理可得:
qU=
mvt2-0
所以vt=
,因此
大的,速度最大,所以正确选项为A.
本题难度:简单
3、选择题 有一个点电荷只受电场力的作用,分别从电场中的a点由静止释放,在它沿直线运动到b点的过程中,动能Ek随位移x变化的关系图象如图所示中的①、②图线。则下列说法正确的是
? 
[? ]
A.正电荷在甲图电场中从a点由静止释放,沿直线运动到b点的过程中,对应的图线是①
B.负电荷在乙图电场中从a点由静止释放,沿直线运动到b点的过程中,对应的图线是①
C.负电荷在丙图电场中从a点由静止释放,沿直线运动到b点的过程中,对应的图线是②
D.负电荷在丁图电场中从a点由静止释放,沿直线运动到b点的过程中,对应的图线是②
参考答案:ABC
本题解析:
本题难度:一般
4、选择题 如图所示,在点电荷+Q的电场中有A、B两点,将质子和α粒子分别从A点由静止释放到达B点时,它们的速度大小之比为(?)
A.1∶1? B.2∶1? C.
∶1? D.1∶
参考答案:C
本题解析:设AB两点间的电势差为U,由动能定理有
对质子:
mHvH2=qHU
对α粒子:
mαvα2=qαU
所以
.
本题难度:简单
5、计算题 (12分)如图所示,在平面直角坐标系
中,第II象限和第I象限内各有一相同的圆形区域,两个区域的圆心坐标分别是
(图中未标出),图中M、N为两个圆形区域分别与x轴的切点,其中第Ⅱ象限内的圆形区域也与y轴相切;两个区域中都分布着垂直纸面向里的匀强磁场,磁感应强度分别为
;在第I象限内还存在着一沿x轴负方向,左右均有理想边界的匀强电场,左边界为y轴,右边界与磁场B2边界相切,电场强度
;在第Ⅳ象限内有一沿x轴正方向的匀强电场E2,电场强度
;一带负电的粒子(不计重力)从M点射入磁场Bl中,速度大小为
,无论速度的方向如何(如图),粒子都能够在电场E1中做直线运动后进入磁场B2中,且都从N点飞出磁场进入第Ⅳ象限的电场中,已知粒子的比荷
.如果粒子在M点入射的速度方向与x轴垂直,试求:
(1)粒子的入射速度
;
(2)第I象限内磁场的磁感应强度值B2;
(3)粒子离开第Ⅳ象限时的位置P的坐标。
参考答案:(1)
(2)
(3)P(0, 2m)
本题解析:(1)可知粒子在磁场B1中圆周运动的半径
(1分)
洛仑兹力提供向心力:
(2分)
可得:
(1分)
(2)粒子在电场E1中:
(1分)
粒子在磁场B2中圆周运动的半径
(1分)
洛仑兹力提供向心力:
(1分)
可得:
(1分)
(3)粒子从N点垂直于x轴向下进入电场E2中,最终将从y轴飞出电场:
在电场E2中:
60; (1分)
(1分)
(1分)
解得:
粒子离开第IV象限时的位置P坐标:P(0, 2m) (1分)
考点:带电粒子在电磁场中的运动
本题难度:困难