时间:2019-05-21 04:15:55
1、简答题 如图20所示,绝缘长方体B置于水平面上,两端固定一对平行带电极板,极板间形成匀强电场E。长方体B的上表面光滑,下表面与水平面的动摩擦因数
=0.05(设最大静摩擦力与滑动摩擦力相同)。B与极板的总质量
=1.0kg.带正电的小滑块A质量
=0.60kg,其受到的电场力大小F=1.2N.假设A所带的电量不影响极板间的电场分布。t=0时刻,小滑块A从B表面上的a点以相对地面的速度
=1.6m/s向左运动,同时,B(连同极板)以相对地面的速度
=0.40m/s向右运动。问(g取10m/s2)
(1)A和B刚开始运动时的加速度大小分别为多少?
(2)若A最远能到达b点,a、b的距离L应为多少?从t=0时刻至A运动到b点时,摩擦力对B做的功为多少?
参考答案:见解析
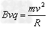
本题解析:⑴由牛顿第二定律
有
A刚开始运动时的加速度大小
?方向水平向右
B刚开始运动时受电场力和摩擦力作用
由牛顿第三定律得电场力
摩擦力
B刚开始运动时的加速度大小
方向水平向左
⑵设B从开始匀减速到零的时间为t1,则有
此时间内B运动的位移
t1时刻A的速度
,故此过程A一直匀减速运动。
此t1时间内A运动的位移
此t1时间内A相对B运动的位移
此t1时间内摩擦力对B做的功为
t1后,由于
,B开始向右作匀加速运动,A继续作匀减速运动,当它们速度相等时A、B相距最远,设此过程运动时间为t2,它们速度为
,则有
对A?速度
www.
对B?加速度
速度
联立以上各式并代入数据解得
?
此t2时间内A运动的位移
此t2时间内B运动的位移
此t2时间内A相对B运动的位移
此t2时间内摩擦力对B做的功为
所以A最远能到达b点a、b的距离L为
从t=0时www.刻到A运动到b点时,摩擦力对B做的功为
。
本题难度:简单
2、计算题 .如图所示是示波器的部分构造示意图,真空室中阴极K不断发出初速度可忽略的电子,电子经电压U0=1.82×l04V的电场加速后,由孔N沿长L=0.10m相距为d="0.020" m的两平行金属板A、B间的中心轴线进入两板间,电了穿过A、B板后最终可打在中心为O的荧光屏CD上,光屏CD距A、B板右侧距离s=0.45m.若在A、B间加UAB=54.6V的电压.已知电子电荷最e=1.6×10-19C,质量m=9.1×10-31kg。求:
(1)电子通过孔N时的速度大小;
(2)荧光屏CD上的发光点距中心O的距离。
参考答案:(1)
;(2)
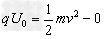
本题解析:(1)设电子通过加速电场到达N孔的速度大小为v,根据动能定理得:
解得:
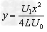
(2)设电子通过加速电场的最大偏移为y,由类平抛规律得:

解得:
设荧光屏上发光点到O点的距离为Y,打在荧光屏上的电子相当于从A、B板中心沿直线射出.由几何关系得:
解得:
考点:带电粒子在电场中的加速和偏转.
本题难度:一般
3、计算题 如图所示,直角三角形OAC(α=30°)区域内有B=0.5 T的匀强磁场,方向如图所示,两平行极板M,N接在电压为U的直流电源上,左板为高电势,一带正电的粒子从靠近M板由静止开始加速,从N板的小孔射出电场后,垂直OA的方向从P点进入磁场中。带电粒子的比荷为
,OP间距离为L=0.3 m,全过程不计粒子所受的重力,则:
(1)若加速电压U=120 V,通过计算说明粒子从三角形OAC的哪一边离开磁场?
(2)求粒子分别从OA,OC边离开磁场时粒子在磁场中运动的时间。 
参考答案:解:(1)如图所示,当带电粒子的轨迹与OC边相切时为临界状态,设临界关径为R,加速电压U0,则有
,解得R=0.1 m 

U0=125 V
U<U0,则r<R,粒子从OA边射出
(2)带电粒子在磁场做圆周运动的周期为
当粒子从OA边射出时,粒子在磁场中恰好运动了半个周期
当粒子从OC边射出时,粒子在磁场中运动的时间小于
周期
本题解析:
本题难度:困难
4、计算题 (10分)电视机中显像管(抽成真空玻璃管)的成像原理主要是靠电子枪产生高速电子束,并在变化的磁场作用下发生偏转,打在荧光屏不同位置上发出荧光而形成像。显像管的原理示意图(俯视图)如图甲所示,在电子枪右侧的偏转线圈可以产生使电子束沿纸面发生偏转的磁场,偏转的磁场可简化为由通电螺线管产生的与纸面垂直的磁场,该磁场分布的区域为圆形(如图乙所示),其磁感应强度B=μNI,式中μ为磁常量,N为螺线管线圈的匝数,I为线圈中电流的大小。由于电子的速度极大,同一电子穿过磁场过程中可认为磁场没有变化,是稳定的匀强磁场。
已知电子质量为m,电荷量为e,电子枪加速电压为U,磁常量为μ,螺线管线圈的匝数N,偏转磁场区域的半径为r,其圆心为O点。当没有磁场时,电子束通过O点,打在荧光屏正中的M点,O点到荧光屏中心的距离OM=L。若电子被加速前的初速度和所受的重力、电子间的相互作用力以及地磁场对电子束的影响均可忽略不计,不考虑相对论效应及磁场变化所激发的电场对电子束的作用。
(1)求电子束经偏转磁场后打到荧光屏上P点时的速率;
(2)若电子束经偏转磁场后速度的偏转角θ=60°,求此种情况下电子穿过磁场时,螺线管线圈中电流I0的大小;
(3)当线圈中通入如图丙所示的电流,其最大值为第(2)问中电流的0.5倍。求电子束打在荧光屏上发光所形成“亮线”的长度。
参考答案:(1)
(2)
(3)
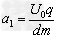
本题解析:(1)设经过电子枪加速电场加速后,电子的速度大小为v。
根据动能定理有:
(2分)
解得:
(1分)
(2)设电子在磁场中做圆运动的半径为
,运动轨迹如图所示。
根据几何关系有:
(1分)
洛伦兹力提供向心力,根据牛顿第二定律有:
(1分)
由题知
解得:
(1分)
(3)设线圈中电流为0.5I0时,偏转角为
,此时电子在屏幕上落点距M点最远。
此时磁感应强度
,
轨迹圆半径
(1分)
(1分)
电子在屏幕上落点距M点最远距离
(1分)
亮线长度
(1分)
考点:本题考查带电粒子在复合场中的运动
本题难度:困难
5、选择题 有一种飞行器是利用电场加速带电粒子,形成向外发射的高速粒子流,对飞行器自身产生反冲力,从而对飞行器的飞行状态进行调整的。已知飞行器发射的高速粒子流是由二价氧离子构成的。当单位时间内发射的离子个数为n,加速电压为U时,飞行器获得的反冲力为F。为了使加速器获得的反冲力变为2F,只需要
[? ]
A.将加速电压变为2U
B.将加速电压变为4U
C.将单位时间内发射的离子个数变为
n
D.将单位时间内发射的离子个数变为4n
参考答案:B
本题解析:
本题难度:一般