时间:2018-10-10 23:58:16
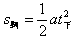
1、选择题 如图所示,在阴极射线管(可产生电子流)正上方平行放置一根通有电流的长直导线,方向如图.则射线管产生的阴极射线将( )
A.向纸内偏转
B.向纸外偏转
C.向下偏转
D.向上偏转
参考答案:
由安培定则可判断出通电直导线周围所产生的磁场,如图所示,阴极射线管正好处于垂直纸面向外的磁场中,由左手定则可判断出电子流受到向上的洛伦兹力作用,所以电子流要向上偏转.
故选D.
本题解析:
本题难度:简单
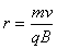
2、选择题 如图所示,一个静止的质量为m、电荷量为q的粒子(重力忽略不计),经加速电压U加速后,垂直进入磁感应强度为B的匀强磁场中,粒子打到P点,OP=x,能正确反映x与U之间关系的是( )
A.x与U成正比
B.x与U成反比
C.x与
| U |
| U |

参考答案:带电粒子在电场中加速运动,根据动能定理得:
12mv2=Uq
解得:v=
本题解析:
本题难度:简单
3、选择题 如图所示,在x轴上方存在着垂直于纸面向里、磁感应强度为B的匀强磁场,一个不计重力的带电粒子从坐标原点O处以速度v进入磁场,粒子进入磁场时的速度方向垂直于磁场且与x轴正方向成120°角,若粒子穿过y轴正半轴后在磁场中到x轴的最大距离为a,则该粒子的比荷和所带电荷的正负是

[? ]
,正电荷
,正电荷
,负电荷
,负电荷 参考答案:C
本题解析:
本题难度:一般
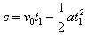
4、计算题
如图所示,倾角为30°的粗糙斜面的底端有一小车,车内有一根垂直小车底面的细直管,车与斜面间的动摩擦因数
,在斜面底端的竖直线上,有一可以上下移动的发射枪,能够沿水平方向发射不同速度的带正电的小球,其电量与质量之比
,计算时取
,在竖直线与斜面之间有垂直纸面向外的匀强磁场和竖直向上的匀强电场,小球在运动过程中重力和电场力始终平衡。当小车以v0=7.2m/s的初速度从斜面底端上滑至2.7m的A处时,小球恰好落入管中且与管壁无碰撞, 此时小球的速率是小车速率的两倍。取g=10m/s2。求:
(1)小车开始上滑到经过A处所用的时间;
(2)匀强磁场的磁感应强度的大小。

参考答案:解:(1)当小车上滑时,
①
上滑至A处时,
②
得
s ③
此时
m/s ④
m ⑤
当小车下滑时,
⑥
?⑦
由⑤⑥⑦得:
s ⑧
此时
m/s
从开始上滑到下滑经过A处的时间
?⑨
(2)上滑经过A点时:? 
m/s
由题意知
m/s ⑩
由几何关系得
m ⑾
又
?⑿
由⑩⑾⑿得
T ⒀
下滑经过A处时:? 
m/s
则
m/s ⒁
由几何关系得
⒂
由⑿⒁⒂得
⒃
本题解析:
本题难度:困难
5、选择题 带电粒子进入云室会使云室中的气体电离,从而显示其运动轨迹,如图所示是在有匀强磁场的云室中观察到的粒子轨迹,a和b是轨迹上的两点,匀强磁场B垂直纸面向里,该粒子在运动时,其质量和电荷量不变,而动能逐渐减小。下列说法中正确的是
[? ]
A. 粒子先经过a点,再经过b点
B. 粒子先经过b点,再经过a点
C. 粒子带负电
D. 粒子带正电
参考答案:AC
本题解析:
本题难度:一般