时间:2018-10-01 00:40:07
1、计算题 一辆汽车,以36km/h的速度匀速行驶10s,然后以1m/s2的加速度匀加速行驶10s,求:
(1)汽车在这20s内的位移是多大?
(2)汽车在加速的10s内的平均速度是多大?
参考答案:(1)
(2)
本题解析:已知
,
,
(1)匀速行驶10s内位移:
匀加速行驶的10s内位移:
汽车在20s内的位移
(2)根据
考点:考查了匀变速直线运动规律的应用
本题难度:一般
2、填空题 汽车以10m/s的速度行驶,刹车后获得2m/s2的加速度,则刹车后4s内通过的路程是___ ___m,刹车后8s内通过的路程是___ _ __m
参考答案:24 25w.w.^w.k.&s.5*u.c.#om高.考.资.源.网
本题解析:略
本题难度:一般
3、计算题 一辆汽车正以v0=30m/s的速度在平直路面上行驶,驾驶员突然发现正前方约50m有一个障碍物,立即以大小为8m/s2的加速度刹车。为了研究汽车经过2s是否撞上障碍物,甲、乙两位同学根据已知条件作出以下判断:
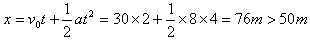
甲同学认为汽车已撞上障碍物,理由是:
在2s时间内汽车通过的位移
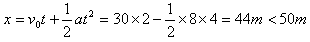
乙同学也认为汽车已撞上障碍物,理由是:
在2s时间内汽车通过的位移
问:以上两位同学的判断是否正确?如果不正确,请指出错误的原因,并作出正确的解答。
参考答案:解:以上解法不正确,甲同学错在加速度的方向上,乙同学计算2秒末的速度时错误。
? 正确解法如下:
? 在2s时间内汽车通过的位移
? 所以汽车没有撞上障碍物
本题解析:
本题难度:一般
4、计算题 跳伞运动员在直升飞机上做跳伞表演,当飞机离地面224m高处相对静止时,运动员离开飞机在竖直方向做自由落体运动,运动一段时间后,立即打开降落伞,打开降落伞后运动员匀减速下降,加速度大小为12.5m/s2。为了运动员的安全,要求运动员落地的速度最大不得超过5m/s。(g=10m/s2)求:
(1)运动员打开降落伞时离地面高度至少为多少?(2)运动员在空中的最短时间为多少?
参考答案:(1) 99m (2) 
本题解析:设打开降落伞时跳伞运动员的速度为
,此时离地面的高度为h,
H="224m."
=5m/s 
① (2分)
② (2分)
由①②得
③ (1分)
代入②得h=99m ④ (1分)
(2)自由下落的时间为
,匀减速下落的时间为
,则
⑤ (1分)
⑥ (2分)
在空中最短的时间为
⑦ (2分)
考点:考查了匀变速直线运动规律的应用
本题难度:一般
5、选择题 完全相同的三块木块并排固定在水平面上,一颗子弹以速度v水平射入,若子弹在木块中做匀减速直线运动,且穿过第三块木块后速度恰好为零,则子弹依次射入每块木块时的速度之比和穿过每块木块所用时间之比为
[? ]




参考答案:BD
本题解析:
本题难度:一般