时间:2017-11-05 17:08:17
1、选择题  如图所示,一个带负电的物体从粗糙斜面顶端滑到斜面底端时的速度为v,若加上一个垂直纸面向外的磁场,则滑到底端时
[? ]
A.v变大          
B.v变小 
C.v不变 
D.不能确定 
参考答案:B
本题解析:
本题难度:一般
2、计算题  如图所示,在光滑的绝缘水平桌面上,有直径相同的两个金属球a和b,质量分别为ma=3m,mb=m,b球带电量为4q,静止在磁感应强度为B的匀强磁场中;不带电小球a从光滑斜面上静止释放,斜面与水平面用光滑的小圆弧连接,进入磁场后与b球发生正碰,若碰后a球与b球对桌面的压力恰好都为零。求:
(1)b球电性;
(2)a球释放高度h;
(3)运动一段时间后,如果让b球做匀速圆周运动,需要加一个怎样的电场?b球做匀速圆周运动的半径R如何? 
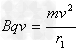
参考答案:解:(1)a、b碰后对桌面的压力为零,所受磁场力向上,据左手定则,b球带负电
(2)a球沿斜面下滑过程,根据动能定理有:magh= mav02 ①
mav02 ① 
因为两球体积相同,接触后电量均分,所以a、b各带电2q
对a球,根据力的平衡条件得2qvaB=mag,即 ②
 ②
 对b球,根据力的平衡条件得2qvbB=mbg,即 ③
 ③ 
碰撞过程a、b系统受合外力为零,根据动量守恒定律:mav0=mava+mbvb ④ 
联立①②③④式得:h= ⑤
 ⑤ 
(3)当重力与电场力合力为零,磁场力提供向心力时,b球做匀速圆周运动。所以:mbg=qbE ⑥ 
代入可得:E= ⑦
 ⑦ 
负电荷受电场力向上,所以应该加一个方向竖直向下的电场 ⑧ 
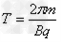
b球做匀速圆周运动,由圆周运动知识可得:2qvbB=mb ⑨
 ⑨ 
③代入⑨可得:R= ⑩
 ⑩
本题解析:
本题难度:困难
3、计算题  如图所示,在空间中存在垂直纸面向里的场强为B匀强磁场,其边界AB、CD的宽度为d,在左边界的Q点处有一质量为m,带电量为负q的粒子沿与左边界成30°的方向射入磁场,粒子重力不计。求: 
(1)带电粒子能从AB边界飞出的最大速度? 
(2)若带电粒子能垂直CD边界飞出磁场,穿过小孔进入如图所示的匀强电场中减速至零且不碰到负极板,则极板间电压及整个过程中粒子在磁场中运动的时间? 
(3)若带电粒子的速度是(2)中的 倍,并可以从Q点沿纸面各个方向射入磁场,则粒子能打到CD边界的范围?
倍,并可以从Q点沿纸面各个方向射入磁场,则粒子能打到CD边界的范围? 
参考答案:解:(1)粒子能从左边界射出,临界情况有
所以粒子能从左边界射出速度应满足
(2)粒子能从右边界射出:
?
解得
粒子不碰到右极板所加电压满足的条件
因粒子转过的圆心角为60°,所用时间为T/6
而
因返回通过磁场所用时间相同,所以总时间 ?
?
(3)当粒子速度为(2)中的 倍时
倍时
解得R"=2d粒子,如图
由几何关系可得t=2×2dcos30°=2 d
d  ?
? 
本题解析:
本题难度:困难
4、计算题  如图所示,M、N为加速电场的两极板,M板中心有一小孔Q,其正上方有一半径为R1=1m的圆形磁场区域,圆心为O,另有一内半径为R1,外半径为 m的同心环形磁场区域,区域边界与M板相切于Q点,磁感应强度大小均为B=0.5T,方向相反,均垂直于纸面。一比荷
m的同心环形磁场区域,区域边界与M板相切于Q点,磁感应强度大小均为B=0.5T,方向相反,均垂直于纸面。一比荷 C/kg带正电粒子从N板的P点由静止释放,经加速后通过小孔Q,垂直进入环形磁场区域。已知点P、Q、O在同一竖直线上,不计粒子的重力,且不考虑粒子的相对论效应。
C/kg带正电粒子从N板的P点由静止释放,经加速后通过小孔Q,垂直进入环形磁场区域。已知点P、Q、O在同一竖直线上,不计粒子的重力,且不考虑粒子的相对论效应。
(1)若加速电压 V,求粒子刚进入环形磁场时的速率v0;
V,求粒子刚进入环形磁场时的速率v0;
(2)要使粒子能进入中间的圆形磁场区域,加速电压U2?
(3)在某加速电压下粒子进入圆形磁场区域,恰能水平通过圆心O,之后返回到出发点P,求粒子从Q孔进入磁场到第一次回到Q点所用的时间。
参考答案:解:(1)粒子在匀强电场中,由动能定理得: ?①
?①
解得 7?m/s ②
7?m/s ②
(2)粒子刚好不进入中间圆形磁场的轨迹如图所示,设此时粒子在磁场中运动的旋转半径为r1
在RtΔQOO1中有: . ③
. ③
解得r1=1m ④
由 ?,得
?,得 ?⑤
?⑤ 
又由动能定理得: ?⑥
?⑥
联立④⑤⑥得: V ⑦
V ⑦
所以加速电压U2满足条件是:U2 >  V ⑧
V ⑧
(3)粒子的运动轨迹如图所示,由于O、O3、Q共线且竖直,又由于粒子在两磁场中的半径相同为r2,有O2O3= 2O2Q = 2r2
由几何关系得∠QO2O3=60°
故粒子从Q孔进入磁场到第一次回到Q点所用的时间为t = 2 ( T+
T+ T ) =
T ) =  T ⑨
T ⑨
又 ?⑩
?⑩
由⑨⑩得t ≈3.66×10-7 s
本题解析:
本题难度:困难
5、计算题  在水平地面上方的真空室内存在着无限大的匀强电场和匀强磁场共同存在的区域,且电场与磁场的方向相同,在距离水平地面的某一高度处,有一个带电量为q、质量为m的带负电的质点,以垂直于电场方向的水平初速度v0进入该真空室内,当磁感应强度的大小为B时,为保证带电质点进入真空室后做直线运动,重力加速度为g。求:
(1)求电场强度E的大小和方向应满足的条件。
(2)若带电质点在运动到空中某一M点时立即撤去电场,此后向下运动到空中P点,空中M、N两点间的竖直高度为H,求经过空中P点时的速率vp。
(3)若带电质点在运动到空中某一M点时立即撤去磁场,此后经时间t运动到空中N点,求空中M、N两点间的竖直高度H及经过空中N点时的速率vN。 
参考答案:(1)电场E的方向为沿与重力方向夹角 且斜向下的一切方向
且斜向下的一切方向 
(2)vp=
(3) ,vN=
,vN=
本题解析:
本题难度:困难