时间:2017-09-26 10:55:06
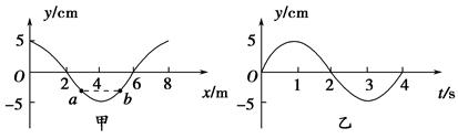
1、选择题  如图所示,甲是一列横波在某一时刻的波动图像,乙是在x=6 m处的质点从该时刻开始计时的振动图像,a、b是介质中两个质点,下列说法正确的是?  
A.这列波沿x轴的正方向传播
B.这列波的波速是2 m/s
C.b比a先回到平衡位置
D.a、b两质点的振幅都是10 cm
2、选择题  一列简谐横波沿x轴正方向传播,某时刻(t=0)其波形如图所示,a 、b 、c 、d是四个质元,振幅为A?下列说法中正确的是 ?
? ?该时刻以后,质元a比质元b先到达平衡位置
?该时刻以后,质元a比质元b先到达平衡位置 ?该时刻以后的
?该时刻以后的 周期内,质元a通过的路程为1m
周期内,质元a通过的路程为1m 该时刻以后的
该时刻以后的 周期内,质元b通过的路程比质元c通过的路程大
周期内,质元b通过的路程比质元c通过的路程大 该时刻以后的
该时刻以后的 周期内,质元d通过的路程等于A?
周期内,质元d通过的路程等于A?
3、计算题  如图所示,波沿x轴正方向传播,质点p的坐标x=0.32 m.从此时刻开始计时.
(1)若每间隔最小时间0.4 s重复出现波形图,求波速.
(2)若p点经0.4 s第一次达到正向最大位移,求波速.
(3)若p点经0.4 s到达平衡位置,求波速.
4、选择题  一列沿x轴正向传播的简谐波,在x1=2.0m和x2=12.0m处的两质点的振动图像如图实线和虚线所示。由图可知,关于简谐波的波长和波速有如下一些判断,其中正确的是
A.波长可能等于10.0m
B.波长可能等于4.0m
C.波速可能等于1.0 m/s
D.波速可能等于2.5m/s
5、填空题  如图所示为一列正弦波的一部分,已知a点将向上运动,则该波应向______方向传播.