时间:2015-06-13 21:46:41
(1)求圆C的普通方程及直线l的直角坐标方程;
(2)设圆心C到直线l的距离等于2,求m的值.
(3)(本小题满分7分)选修4-5:不等式选讲
已知a﹥0,b﹥0,c﹥0,函数f(x)=∣x+a∣+∣x-b∣+c的最小值为4.
(1)求
的值;
(2)求
的最小值为.
数学试题(理工农医类)参考答案
一、选择题:本大题考查基础知识和基本运算,每小题5分,满分50分。
1.C 2.D 3.B 4.B 5.A 6.C 7.B 8.D 9.A 10.C
二、填空题:本大题考查基础知识和基本运算,每小题4分,满分20分。
11. 80 12. 7 13.
14.
15.5
三、解答题:本大题共6小题,共80分。解答应写出文字说明、证明过程或演算步骤。
16.本小题主要考查古典概型、相互独立事件的概率、随机变量的分布列、数学期望等基础知识,考查运算求解能力、应用意识,考查必然与或然思想,满分13分
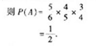
解:(1)设“当天小王的该银行卡被锁定”的事件为A,

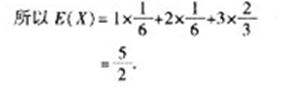
(2)依题意得,X所有可能的取值是1,2,3
![]()
所以X的分布列为

.
17.本小题主要考查直线与直线、直线与平面、平面与平面的位置关系等基础知识,考查空间想象能力、推理论证能力、运算求解能力,考查数形结合思想、函数与方程思想、化归与转化思想.满分13分.
解法一:(1)如图,取AE的中点H,连接HG,HD,
又G是BE的中点,
所以GH//AB,且GH=
AB,
又F是CD中点,
,
由四边形ABCD是矩形得,AB//CD,AB=CD
所以GH//DF.且GH=DF
从而四边形HGFD是平行四边形,所以GF//DH,
又
,所以
.
(2)如图,在平面BEG内,过点B作BQ//EC,因为BE丄CE,所以BQ丄BE
又因为AB丄平面BEC,所以AB丄BE,AB丄BQ
以B为原点,分别以
的方向为x轴,y轴,z轴的正方向
建立空间直角坐标系,则A(0,0,2),B(0,0,0),E(2,0,0),F(2,2,1)
因为AB丄平面BEC,所以
为平面BEC的法向量,
设
为平面AEF的法向量.又![]()