时间:2015-06-13 21:46:41
![]()
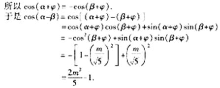
所以
解法二:(1)同解法一.
(2)1) 同解法一.
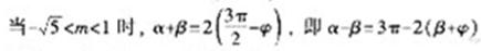
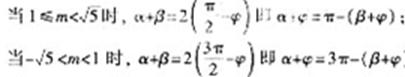
2) 因为α,β是方程
在区间[0.2π]内有两个不同的解,
所以
,
.

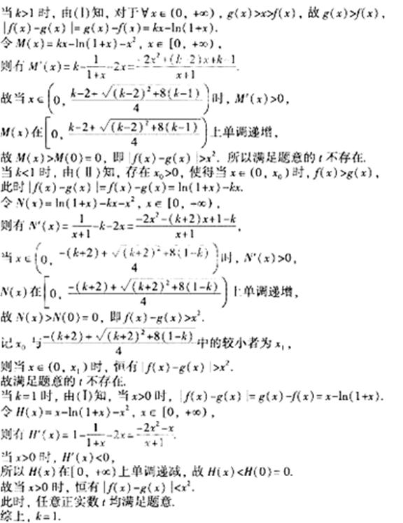
20.本小题主要考查导数及其应用等基础知识,考查推理论证能力、运算求解能力、创新意识,考查函数与方程思想、化归与转化思想、分类与整合思想、有限与无限思想、数形结合思想.满分14分.
解法一:(1)令
则有
当x
(0,+∞) F(x)<0,所以
在(0+∞)上单调递减,
故当
.
(2)令
则有
当k≤0时, G(x)>0,故
在[0+∞]上单调递增, ![]()
故对任意正实数
均满足题意.

(3)
)

(3) 
21.选修4-2:矩阵与变换
本小题主要考查矩阵、逆矩阵等基础知识,考查运算求解能力,考查化归与转化思想.满分7分.
解:![]()
所以
(2)由AC=B得
,
故
选修4-4:坐标系与参数方程