高考地理知识大全《地壳物质循环及地表形态的塑造》答题技巧(2017年最新版)(一)

时间:2017-01-24 15:38:39

微信搜索关注"91考试网"公众号,领30元,获取事业编教师公务员等考试资料40G

1、综合题  图A为我国某区域主要河流分布示意图,图B为图A中沿a~b线的地质剖面示意图,读图回答下列问题。

(1)图B中①处地质构造是__??????,②处地质构造是__???????,①②③④四处中最有可能形成喀斯特地貌的是____处,④处顶部岩层缺失的主要原因是??????????????
(2)关于图B中地理事物或现象的叙述正确的是______
A.③处形成流水侵蚀地貌,④处形成流水堆积地貌
B.a~b间的地形主要是内力作用形成的
C.图中区域易发生台风、滑坡、泥石流等自然灾害
D.能找到石油资源的是③,地下水的是④
(3)用曲线连接图A 中c、d 两点,若曲线表示当地 1 月份等温线,其应向??????弯曲。
(4)图A中河流干流的流向是______,现准备在a~b 河段建设水电站,试评价建设水电站的自然条件是????????????????????????????????????



2、单选题  下列词语中,从地质学的观点看,不正确的是(???)
A.稳如泰山
B.海枯石烂
C.沧海桑田
D.水滴石穿



3、单选题  埃及金字塔遭受严重破坏的自然原因是

A.流水侵蚀
B.风化和风蚀
C.冰川侵蚀
D.水的溶蚀



4、单选题  读40°N附近地形剖面示意图,完成7-9题。

小题1:丙地区地貌的典型特点是
A.沟壑纵横,水土流失严重
B.岩层易受溶蚀,有落水洞等
C.峡谷耸立,水流湍急
D.风化痕迹显著,有风蚀城墙等
小题2:图中的向右和向左的风,在各自盛行的时候,风向分别是
A.西风和东风
B.北风和东南风
C.偏北风和东南风
D.内陆风和海洋风
小题3:地形单元丁在太行山以东,其北界和南界分别是
A.阴山和淮河
B.阴山和秦岭
C.燕山和大别山
D.燕山和淮河



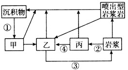
5、单选题  下图为地壳物质循环示意图,①②③④表示各类地质作用。据此下列叙述正确的是

[???? ]
A、石英岩属于乙类岩石
B、甲、丙类岩石具有层理构造并含有化石
C、褶皱形成与①有关
D、②③④属于外力作用




首页 上页 1 2 3 下页 尾页 1/10/10
微信搜索关注"91考试网"公众号,领30元,获取公务员事业编教师考试资料40G
【省市县地区导航】【考试题库导航】
 ★ 高考省级导航 ★ 
全国 A安徽 B北京 C重庆 F福建 G广东 广西 甘肃 贵州 H河南 河北 湖南 湖北 黑龙江 海南 J江苏 江西 吉林 L辽宁 N内蒙古 宁夏 Q青海 S山东 山西 陕西 四川 上海 T天津 X新疆 西藏 Y云南 Z浙江
 ★ 高考信息汇总 ★ 
 ★ 高考历年真题 ★ 
 ★ 高考历年真题 ★ 
 ★ 高考题库 ★ 
 ★ 高考题库 ★ 

电脑版  |  手机版  |  返回顶部