时间:2020-03-17 07:20:28
1、单选题 马尔维纳斯群岛(英国称福克兰群岛)气凉湿润,降水季节分配均匀。该岛最吸引人的是奇花异草、种类丰富的海鸟、海洋哺乳动物等。读马尔维纳斯群岛简图,回答下列各题。
小题1:西福岛海岸线曲折破碎的主要外力作用是
①流水侵蚀?②风力侵蚀?③海浪侵蚀?④冰川侵蚀
A.①②
B.②③
C.③④
D.①④
小题2:该岛最具有开发前景的能源资源是
A.风能资源
B.地热能资源
C.水能资源
D.生物能资源
小题3:马尔维纳斯群岛在发展旅游经济时可以重点开发的资源是
A.风土民情
B.生物景观
C.地质地貌景观
D.山水组合景观
参考答案:
小题1:C
小题2:A
小题3:B
本题解析:
小题1:西福岛所在纬度较高,温度低,所以受到冰川的侵蚀;这里位于西风带,海浪较大,所以还受到海浪的侵蚀。故选C。
小题2:由于这里常年盛行西风,所以有丰富的风力资源。故选A。
小题3:这里奇花异草、种类丰富的海鸟、海洋哺乳动物多,所以发展旅游经济时可以重点开发的资源生物资源故选B。
本题难度:简单
2、单选题 读图判断下列说法正确的是
A.①处是向斜,②处是背斜
B.①处是背斜,②处是向斜
C.①②处是火山活动造成的地形
D.③④处是稳定岩层构造
参考答案: A
本题解析:岩层向上弯曲是背斜,岩层向下弯曲是向斜。选择A项。
本题难度:一般
3、单选题 黄山有著名的“天狗望月”景观。“天狗”是由岗岩组成,独居峰顶,翘首望月。据此回答下列小题。
【小题1】“天狗”的岩石类型及形成的地质作用对应于下图中的( )
A. c ①
B. a ②
C. c ③
D.d ④
【小题2】 将棱角分明的花岗岩,塑造成栩栩如生的“天狗”的主要地质作用是( )
A.流水侵蚀
B.风力侵蚀
C.冰川侵蚀
D.风化作用
参考答案:
【小题1】A
【小题2】D
本题解析:
【小题1】黄山是花岗岩山体,是岩浆侵入地壳深处,缓慢冷却形成的。图中b为岩浆,c为侵入岩。故A正确。
【小题2】黄山位于我国东部季风气候区,降水丰富,流水侵蚀作用明显。但此岩石位于山顶部位,更多地是受外力对岩石的各种破坏作用,即风化作用,才塑造成现在的“天狗”形状。D正确。
考点:内力与外力作用
本题难度:一般
4、单选题 石漠化是在喀斯特地貌基础上形成的一种荒漠化的现象,简单来说就是土地逐渐被石头占据,90%的石漠化地区集中在云贵高原地区。下图为云贵高原形成与发育过程示意图,读图回答小题。
小题1: 依图判断,云贵高原形成发育过程的先后排序是:
A.①④②③
B.②③①④
C.①②③④
D.④②③①
小题2: 石漠化地区集中在云贵高原地区的主要原因是
①降水集中 ②不合理的农业活动 ③土层薄,水土易流失 ④地表径流缺乏
A.①②③④
B.①③④
C.①②③
D.②③④
参考答案:
小题1:A
小题2:C
本题解析:
小题1:根据地下暗河,溶洞的发育情况可以判断A正确。
小题2:石漠化的形成自然原因是季风气候,降水量大且集中夏季多暴雨,地势起伏大,土层薄,容易水土流失,人为原因是不合理的生产活动导致植被破坏,所以C正确。
本题难度:简单
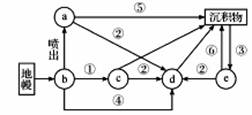
5、综合题 (12分)阅读材料,完成下列问题。
材料 科罗拉多大峡谷是陆地上最长的峡谷之一。从谷底向上,沿岩壁出露着早古生代到新生代的各期岩系,并含有代表性生物化石,大峡谷因此有“活的地质史教科书”之称。图a为地壳物质循环示意图,图b为科罗拉多大峡谷简图。
(1)图a中甲、乙分别代表_____________和______________。(4分)
(2)图a中序号①②③④中,表示变质作用的是______________,表示风化、侵蚀、搬运、沉积和固结成岩等外力作用的是______________。(4分)
(3)科罗拉多大峡谷的形成主要受到的地质作用为_____________,其岩石类型为_____________。(4分)
参考答案:
(1)岩浆岩 ; 变质岩。(每空2分,共4分。)
(2)③ ; ② 。(每空2分,共4分。)
(3)流水侵蚀; 沉积岩。(每空2分,共4分。)
本题解析:
(1)根据图示,乙可以和沉积岩实现互相转化,所以乙是变质岩,甲由岩浆直接形成,所以甲是岩浆岩。
(2)序号①②③④中,指向变质岩的是变质作用,所以是③;风化、侵蚀、搬运、沉积和固结成岩作用是外力作用,在外力作用下形成沉积岩,所以②表示外力作用。
(3)根据材料,科罗拉多大峡谷岩石中含有化石,必为沉积岩。峡谷是由流水侵蚀作用形成的。
考点:本题考查河流地貌的发育、内外力作用与地貌的形成。
本题难度:一般