时间:2019-07-03 04:53:30
1、单选题 2012年9月,中国和尼加拉瓜决定联合修建尼加拉瓜运河。该运河预计将比巴拿马运河更宽更深,可通行25万吨级的油轮和集装箱船。下图为尼加拉瓜运河线路示意图。读图完成下列问题。
小题1:圣胡安河流量季节变化较稳定的主要原因有
A.流域内气温年较差小,蒸发弱
B.流域内年降水总量大
C.流域内湖泊调蓄径流作用显著
D.流域内植被覆盖率高
小题2:运河选址的有利条件有
A.有天然河流、湖泊可以利用
B.地处狭窄区域,地形较平坦
C.沿线人口多、施工劳力充足
D.径流量较大,通航时间较长
小题3:该运河修建后,对运河所在国社会经济的影响主要有
A.带动第三产业发展
B.陆上运输将萎缩
C.促进非农人口增加
D.农业产值将下降
2、单选题 下图为南极地区水循环示意图,回答1—2题。?
1.图中各环节强弱关系正确的是
[?]
A.②<⑤
B.④>③
C.③<②
D.⑤>⑥
2.关于环节⑥说法正确的是
[?]
A.河水的运动
B.地下水的运动
C.全球变暖时,环节⑥变强
D.南极考察最佳期间,环节⑥减弱
3、单选题 大气环流和大洋环流源源不断地从低纬度向高纬度输送热量,下图表示“北半球向北的热量输送随纬度的变化”,读图完成以下各题。
【小题1】引起大气环流和大洋环流输送热量的根本原因是
A.海陆热力性质差异
B.海陆分布和地球运动
C.太阳辐射和地球运动
D.气压带风带季节移动
【小题2】曲线①、②、③代表的热量输送分别是
A.大气输送、总热量输送、海洋输送
B.海洋输送、总热量输送、大气输送
C.大气输送、海洋输送、总热量输送
D.海洋输送、大气输送、总热量输送
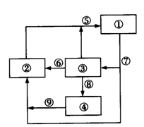
4、单选题 读下面水循环示意图,回答下面几题。
小题1:若图中数码①②③④表示海洋水、大气水、地表水和地下水,则数码①②③④依次表示? (? )
A.海洋水、大气水、地表水、地下水
B.大气水、海洋水、地表水、地下水
C.海洋水、大气水、地下水、地表水
D.大气水、海洋水、地下水、地表水
小题2:若图中数码⑤⑥⑦⑧⑨表示降水、蒸发、地表径流、下渗、地下径流五个环节,则数码⑤⑥⑦⑧依次表示? (? )
A.降水、蒸发、地表径流、下渗
B.蒸发、降水、地表径流、下渗
C.降水、蒸发、下渗、地表径流
D.蒸发、地表径流、降水、下渗
小题3:目前人类活动对水循环中影响最大的环节是? (? )
A.⑤
B.⑥
C.⑦
D.⑨
5、综合题 (11分)阅读下列图文材料回答问题。
材料一:虚拟水指生产产品和服务所需要的水资量。虚拟水不是真实意义上的水,而是以“虚拟”的形式包含在产品中的“看不见”的水。许多国家虚拟水资的进出口以农产品和工业产品表现出,每年全球商品中虚拟水资的流动总量约达16250亿立方米。约旦和以色列等一些干旱国家以虚拟水形式进口的水量已远远超过了其出口的虚拟水量。
材料二:下图为中国虚拟水战略区划图。
(1)分析A、B两省同属虚拟水平衡区的原因。(4分)
(2)从虚拟水角度为C省的产业走可持续发展提出建议。(4分)
(3)从水资利用的角度,说明虚拟水资流动的地理意义。(3分)